Utolsó frissítés :
18/03/2026
rákellenes gyógyszer   Etoposide phosphate  
Injekció
Az oldatok stabilitása A keverékek stabilitása Stabilitást befolyásoló tényezők Kompatibilitás Az alkalmazás módja Irodalom pdf
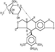
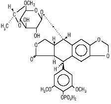
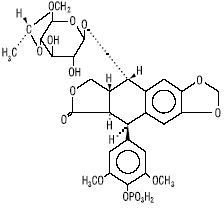
   Kémiai szerkezet   

Kereskedelmi név   Kereskedelmi név     

A kereskedelmi név meghatározó jelentőségű: a készítmények összetétele országonként, előállítóként eltérő lehet

Etopofos Ausztria, Görögország, Svédország
Etopophos Amerikai Egyesült Államok, Belgium, Bulgária, Franciaország, Hollandia, Israel, Lengyelország, Luxemburg, Nagy-Britannia, Németország, Svájc, új-Zéland
A keverékek stabilitása   Injekció   A keverékek stabilitása : Etoposide phosphate     
Csomagolás Oldószer Koncentráció Vegyület Hőmérséklet Tárolás A stabilitás időtartama Irodalom
Poliolefin 0,9% nátrium-klorid 0,6 mg/ml
Injekció   Etoposide phosphate   
Injekció   Doxorubicin hydrochloride 0,12 mg/ml
Injekció   Vincristine sulfate 0,005 mg/ml
2-6°C
5 Nap
Fénytől védve tartandó 1606
Szintű bizonyítékot A
Poliolefin 0,9% nátrium-klorid 1,2 mg/ml
Injekció   Etoposide phosphate   
Injekció   Doxorubicin hydrochloride 0,24 mg/ml
Injekció   Vincristine sulfate 0,010 mg/ml
2-6°C
5 Nap
Fénytől védve tartandó 1606
Szintű bizonyítékot A
Poliolefin 0,9% nátrium-klorid 2 mg/ml
Injekció   Etoposide phosphate   
Injekció   Doxorubicin hydrochloride 0,4 mg/ml
Injekció   Vincristine sulfate 0,016 mg/ml
2-6°C
5 Nap
Fénnyel vagy anélkül 1606
Szintű bizonyítékot A
Poliolefin 0,9% nátrium-klorid 0,6 mg/ml
Injekció   Etoposide phosphate   
Injekció   Doxorubicin hydrochloride 0,12 mg/ml
Injekció   Vincristine sulfate 0,005 mg/ml
35°C-40°C
5 Nap
Fénytől védve tartandó 1606
Szintű bizonyítékot A
Poliolefin 0,9% nátrium-klorid 1,2 mg/ml
Injekció   Etoposide phosphate   
Injekció   Doxorubicin hydrochloride 0,24 mg/ml
Injekció   Vincristine sulfate 0,010 mg/ml
35°C-40°C
5 Nap
Fénytől védve tartandó 1606
Szintű bizonyítékot A
Poliolefin 0,9% nátrium-klorid 2 mg/ml
Injekció   Etoposide phosphate   
Injekció   Doxorubicin hydrochloride 0,4 mg/ml
Injekció   Vincristine sulfate 0,016 mg/ml
35°C-40°C
5 Nap
Fénnyel vagy anélkül 1606
Szintű bizonyítékot A
Poliizoprén elasztomer 0,9% nátrium-klorid 0,6 mg/ml
Injekció   Etoposide phosphate   
Injekció   Vincristine sulfate 0,005 mg/ml
Injekció   Doxorubicin hydrochloride 0,12 mg/ml
2-6°C
14 Nap
Nincs meghatározva 4102
Szintű bizonyítékot A+
Poliizoprén elasztomer 0,9% nátrium-klorid 1,2 mg/ml
Injekció   Etoposide phosphate   
Injekció   Vincristine sulfate 0,01 mg/ml
Injekció   Doxorubicin hydrochloride 0,24 mg/ml
2-6°C
14 Nap
Nincs meghatározva 4102
Szintű bizonyítékot A+
Poliizoprén elasztomer 0,9% nátrium-klorid 2 mg/ml
Injekció   Etoposide phosphate   
Injekció   Vincristine sulfate 0,016 mg/ml
Injekció   Doxorubicin hydrochloride 0,4 mg/ml
2-6°C
14 Nap
Nincs meghatározva 4102
Szintű bizonyítékot A+
Poliizoprén elasztomer 0,9% nátrium-klorid 0,6 mg/ml
Injekció   Etoposide phosphate   
Injekció   Vincristine sulfate 0,005 mg/ml
Injekció   Doxorubicin hydrochloride 0,12 mg/ml
35°C
7 Nap
Fénytől védve tartandó 4102
Szintű bizonyítékot A+
Poliizoprén elasztomer 0,9% nátrium-klorid 1,2 mg/ml
Injekció   Etoposide phosphate   
Injekció   Vincristine sulfate 0,01 mg/ml
Injekció   Doxorubicin hydrochloride 0,24 mg/ml
35°C
7 Nap
Fénytől védve tartandó 4102
Szintű bizonyítékot A+
Poliizoprén elasztomer 0,9% nátrium-klorid 2 mg/ml
Injekció   Etoposide phosphate   
Injekció   Vincristine sulfate 0,016 mg/ml
Injekció   Doxorubicin hydrochloride 0,4 mg/ml
35°C
7 Nap
Fénytől védve tartandó 4102
Szintű bizonyítékot A+

  Mentions Légales