Dernière mise à jour :
18/03/2026
Anticancéreux   Etoposide phosphate  
injectable
Stabilité des solutions Stabilité en mélange Facteur influençant la stabilité Compatibilités Voie d’administration Bibliographie pdf
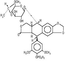
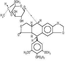
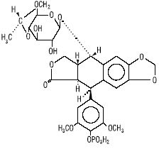
   Structure chimique  

Noms commerciaux   Noms commerciaux     

Les noms commerciaux sont donnés à titre indicatif et la composition en excipients peut être différente selon les pays et selon les laboratoires

Etopofos Autriche, Grèce, Suède
Etopophos Allemagne, Belgique, Bulgarie, Etats Unis d’Amérique, France, Grande Bretagne, Israël, Luxembourg, Nouvelle Zélande, Pays bas, Pologne, Suisse
Stabilité en mélange   injectable   Stabilité en mélange : Etoposide phosphate     
Contenant Solvant Concentration Molécule Température Conservation Durée de stabilité Bibliographie
Polyolefine Chlorure de sodium 0,9% 0,6 mg/ml
injectable   Etoposide phosphate   
injectable   Doxorubicin hydrochloride 0,12 mg/ml
injectable   Vincristine sulfate 0,005 mg/ml
2-6°C
5 Jour
A l’abri de la lumière 1606
Niveau de preuve A
Polyolefine Chlorure de sodium 0,9% 1,2 mg/ml
injectable   Etoposide phosphate   
injectable   Doxorubicin hydrochloride 0,24 mg/ml
injectable   Vincristine sulfate 0,010 mg/ml
2-6°C
5 Jour
A l’abri de la lumière 1606
Niveau de preuve A
Polyolefine Chlorure de sodium 0,9% 2 mg/ml
injectable   Etoposide phosphate   
injectable   Doxorubicin hydrochloride 0,4 mg/ml
injectable   Vincristine sulfate 0,016 mg/ml
2-6°C
5 Jour
Avec ou sans lumière 1606
Niveau de preuve A
Polyolefine Chlorure de sodium 0,9% 0,6 mg/ml
injectable   Etoposide phosphate   
injectable   Doxorubicin hydrochloride 0,12 mg/ml
injectable   Vincristine sulfate 0,005 mg/ml
35°C-40°C
5 Jour
A l’abri de la lumière 1606
Niveau de preuve A
Polyolefine Chlorure de sodium 0,9% 1,2 mg/ml
injectable   Etoposide phosphate   
injectable   Doxorubicin hydrochloride 0,24 mg/ml
injectable   Vincristine sulfate 0,010 mg/ml
35°C-40°C
5 Jour
A l’abri de la lumière 1606
Niveau de preuve A
Polyolefine Chlorure de sodium 0,9% 2 mg/ml
injectable   Etoposide phosphate   
injectable   Doxorubicin hydrochloride 0,4 mg/ml
injectable   Vincristine sulfate 0,016 mg/ml
35°C-40°C
5 Jour
Avec ou sans lumière 1606
Niveau de preuve A
Elastomère en polyisoprène Chlorure de sodium 0,9% 0,6 mg/ml
injectable   Etoposide phosphate   
injectable   Vincristine sulfate 0,005 mg/ml
injectable   Doxorubicin hydrochloride 0,12 mg/ml
2-6°C
14 Jour
Non précisée 4102
Niveau de preuve A +
Elastomère en polyisoprène Chlorure de sodium 0,9% 1,2 mg/ml
injectable   Etoposide phosphate   
injectable   Vincristine sulfate 0,01 mg/ml
injectable   Doxorubicin hydrochloride 0,24 mg/ml
2-6°C
14 Jour
Non précisée 4102
Niveau de preuve A +
Elastomère en polyisoprène Chlorure de sodium 0,9% 2 mg/ml
injectable   Etoposide phosphate   
injectable   Vincristine sulfate 0,016 mg/ml
injectable   Doxorubicin hydrochloride 0,4 mg/ml
2-6°C
14 Jour
Non précisée 4102
Niveau de preuve A +
Elastomère en polyisoprène Chlorure de sodium 0,9% 0,6 mg/ml
injectable   Etoposide phosphate   
injectable   Vincristine sulfate 0,005 mg/ml
injectable   Doxorubicin hydrochloride 0,12 mg/ml
35°C
7 Jour
A l’abri de la lumière 4102
Niveau de preuve A +
Elastomère en polyisoprène Chlorure de sodium 0,9% 1,2 mg/ml
injectable   Etoposide phosphate   
injectable   Vincristine sulfate 0,01 mg/ml
injectable   Doxorubicin hydrochloride 0,24 mg/ml
35°C
7 Jour
A l’abri de la lumière 4102
Niveau de preuve A +
Elastomère en polyisoprène Chlorure de sodium 0,9% 2 mg/ml
injectable   Etoposide phosphate   
injectable   Vincristine sulfate 0,016 mg/ml
injectable   Doxorubicin hydrochloride 0,4 mg/ml
35°C
7 Jour
A l’abri de la lumière 4102
Niveau de preuve A +

  Mentions Légales