Zadnji put ažurirano :
18/03/2026
lijek protiv karcinoma   Etoposide phosphate  
injekcija
Stabilizacija rješenja Stabilnost mješavine Stabilizacijski faktor Kompatibilnosti način davanja lijeka Bibliografija pdf
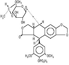
   Kemijska struktura  

Nekomercijalni   Nekomercijalni     

Zaštićeni nazivi su indikativni i sastav ekscipijensa može biti različit ovisno o državi i laboratorijima

Etopofos Austrija, Grčka, Švedska
Etopophos Belgija, Bugarska, Francuska, Izrael, Luksemburg, Nizozemska, Njemačka, novi Zeland, Poljska, S A D, Švicarska, Velika Britanija
Stabilnost mješavine   injekcija   Stabilnost mješavine : Etoposide phosphate     
Kontejner sredstvo za rastapanje koncentracija molekula temperatura Konzerviranje Trajanje stabilnosti Bibliografija
poliolefin natrijumkorid 0,9% 0,6 mg/ml
injekcija   Etoposide phosphate   
injekcija   Doxorubicin hydrochloride 0,12 mg/ml
injekcija   Vincristine sulfate 0,005 mg/ml
2-6°C
5 dan
Zaštićeno od svjetlosti 1606
Razina dokaza A
poliolefin natrijumkorid 0,9% 1,2 mg/ml
injekcija   Etoposide phosphate   
injekcija   Doxorubicin hydrochloride 0,24 mg/ml
injekcija   Vincristine sulfate 0,010 mg/ml
2-6°C
5 dan
Zaštićeno od svjetlosti 1606
Razina dokaza A
poliolefin natrijumkorid 0,9% 2 mg/ml
injekcija   Etoposide phosphate   
injekcija   Doxorubicin hydrochloride 0,4 mg/ml
injekcija   Vincristine sulfate 0,016 mg/ml
2-6°C
5 dan
Sa i bez svjetlosti 1606
Razina dokaza A
poliolefin natrijumkorid 0,9% 0,6 mg/ml
injekcija   Etoposide phosphate   
injekcija   Doxorubicin hydrochloride 0,12 mg/ml
injekcija   Vincristine sulfate 0,005 mg/ml
35°C-40°C
5 dan
Zaštićeno od svjetlosti 1606
Razina dokaza A
poliolefin natrijumkorid 0,9% 1,2 mg/ml
injekcija   Etoposide phosphate   
injekcija   Doxorubicin hydrochloride 0,24 mg/ml
injekcija   Vincristine sulfate 0,010 mg/ml
35°C-40°C
5 dan
Zaštićeno od svjetlosti 1606
Razina dokaza A
poliolefin natrijumkorid 0,9% 2 mg/ml
injekcija   Etoposide phosphate   
injekcija   Doxorubicin hydrochloride 0,4 mg/ml
injekcija   Vincristine sulfate 0,016 mg/ml
35°C-40°C
5 dan
Sa i bez svjetlosti 1606
Razina dokaza A
Poliizoprenski elastomer natrijumkorid 0,9% 0,6 mg/ml
injekcija   Etoposide phosphate   
injekcija   Vincristine sulfate 0,005 mg/ml
injekcija   Doxorubicin hydrochloride 0,12 mg/ml
2-6°C
14 dan
nespecifičan 4102
Razina dokaza A+
Poliizoprenski elastomer natrijumkorid 0,9% 1,2 mg/ml
injekcija   Etoposide phosphate   
injekcija   Vincristine sulfate 0,01 mg/ml
injekcija   Doxorubicin hydrochloride 0,24 mg/ml
2-6°C
14 dan
nespecifičan 4102
Razina dokaza A+
Poliizoprenski elastomer natrijumkorid 0,9% 2 mg/ml
injekcija   Etoposide phosphate   
injekcija   Vincristine sulfate 0,016 mg/ml
injekcija   Doxorubicin hydrochloride 0,4 mg/ml
2-6°C
14 dan
nespecifičan 4102
Razina dokaza A+
Poliizoprenski elastomer natrijumkorid 0,9% 0,6 mg/ml
injekcija   Etoposide phosphate   
injekcija   Vincristine sulfate 0,005 mg/ml
injekcija   Doxorubicin hydrochloride 0,12 mg/ml
35°C
7 dan
Zaštićeno od svjetlosti 4102
Razina dokaza A+
Poliizoprenski elastomer natrijumkorid 0,9% 1,2 mg/ml
injekcija   Etoposide phosphate   
injekcija   Vincristine sulfate 0,01 mg/ml
injekcija   Doxorubicin hydrochloride 0,24 mg/ml
35°C
7 dan
Zaštićeno od svjetlosti 4102
Razina dokaza A+
Poliizoprenski elastomer natrijumkorid 0,9% 2 mg/ml
injekcija   Etoposide phosphate   
injekcija   Vincristine sulfate 0,016 mg/ml
injekcija   Doxorubicin hydrochloride 0,4 mg/ml
35°C
7 dan
Zaštićeno od svjetlosti 4102
Razina dokaza A+

  Mentions Légales