Ostatnia aktualizacja :
18/03/2026
Lek cytostatyk   Etoposide phosphate  
Injekcje
Trwałość roztworów Trwałość w mieszaninie Czynnik wpływający na trwałość Zgodność Sposób podania Bibliografia pdf
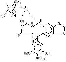
   Struktura chemiczna  

Nazwa handlowa   Nazwa handlowa     

Trade names are indicative and excipients composition can be different depending on the country and manufacturers

Etopofos Austria, Grecja, Szwecja
Etopophos Belgia, Bułgaria, Francja , Holandia, Israël, Luksemburg, Niemcy, nowa Zelandia, Polska, Stany Zjednoczone Ameryki, Szwajcaria, Wielka Brytania
Trwałość w mieszaninie   Injekcje   Trwałość w mieszaninie : Etoposide phosphate     
Pojemnik Rozpuszczalnik Stężenie Związek Temperatura Przechowywanie Czas trwania stabilności Bibliografia
Poliolefina Chlorek sodu 0,9% 0,6 mg/ml
Injekcje   Etoposide phosphate   
Injekcje   Doxorubicin hydrochloride 0,12 mg/ml
Injekcje   Vincristine sulfate 0,005 mg/ml
2-6°C
5 Dzień
Chronić od światła 1606
Poziom wiarygodności A
Poliolefina Chlorek sodu 0,9% 1,2 mg/ml
Injekcje   Etoposide phosphate   
Injekcje   Doxorubicin hydrochloride 0,24 mg/ml
Injekcje   Vincristine sulfate 0,010 mg/ml
2-6°C
5 Dzień
Chronić od światła 1606
Poziom wiarygodności A
Poliolefina Chlorek sodu 0,9% 2 mg/ml
Injekcje   Etoposide phosphate   
Injekcje   Doxorubicin hydrochloride 0,4 mg/ml
Injekcje   Vincristine sulfate 0,016 mg/ml
2-6°C
5 Dzień
Przy świetle lub w ciemności 1606
Poziom wiarygodności A
Poliolefina Chlorek sodu 0,9% 0,6 mg/ml
Injekcje   Etoposide phosphate   
Injekcje   Doxorubicin hydrochloride 0,12 mg/ml
Injekcje   Vincristine sulfate 0,005 mg/ml
35°C-40°C
5 Dzień
Chronić od światła 1606
Poziom wiarygodności A
Poliolefina Chlorek sodu 0,9% 1,2 mg/ml
Injekcje   Etoposide phosphate   
Injekcje   Doxorubicin hydrochloride 0,24 mg/ml
Injekcje   Vincristine sulfate 0,010 mg/ml
35°C-40°C
5 Dzień
Chronić od światła 1606
Poziom wiarygodności A
Poliolefina Chlorek sodu 0,9% 2 mg/ml
Injekcje   Etoposide phosphate   
Injekcje   Doxorubicin hydrochloride 0,4 mg/ml
Injekcje   Vincristine sulfate 0,016 mg/ml
35°C-40°C
5 Dzień
Przy świetle lub w ciemności 1606
Poziom wiarygodności A
Elastomer poliizoprenowy Chlorek sodu 0,9% 0,6 mg/ml
Injekcje   Etoposide phosphate   
Injekcje   Vincristine sulfate 0,005 mg/ml
Injekcje   Doxorubicin hydrochloride 0,12 mg/ml
2-6°C
14 Dzień
Nie wyszczególniony 4102
Poziom wiarygodności A+
Elastomer poliizoprenowy Chlorek sodu 0,9% 1,2 mg/ml
Injekcje   Etoposide phosphate   
Injekcje   Vincristine sulfate 0,01 mg/ml
Injekcje   Doxorubicin hydrochloride 0,24 mg/ml
2-6°C
14 Dzień
Nie wyszczególniony 4102
Poziom wiarygodności A+
Elastomer poliizoprenowy Chlorek sodu 0,9% 2 mg/ml
Injekcje   Etoposide phosphate   
Injekcje   Vincristine sulfate 0,016 mg/ml
Injekcje   Doxorubicin hydrochloride 0,4 mg/ml
2-6°C
14 Dzień
Nie wyszczególniony 4102
Poziom wiarygodności A+
Elastomer poliizoprenowy Chlorek sodu 0,9% 0,6 mg/ml
Injekcje   Etoposide phosphate   
Injekcje   Vincristine sulfate 0,005 mg/ml
Injekcje   Doxorubicin hydrochloride 0,12 mg/ml
35°C
7 Dzień
Chronić od światła 4102
Poziom wiarygodności A+
Elastomer poliizoprenowy Chlorek sodu 0,9% 1,2 mg/ml
Injekcje   Etoposide phosphate   
Injekcje   Vincristine sulfate 0,01 mg/ml
Injekcje   Doxorubicin hydrochloride 0,24 mg/ml
35°C
7 Dzień
Chronić od światła 4102
Poziom wiarygodności A+
Elastomer poliizoprenowy Chlorek sodu 0,9% 2 mg/ml
Injekcje   Etoposide phosphate   
Injekcje   Vincristine sulfate 0,016 mg/ml
Injekcje   Doxorubicin hydrochloride 0,4 mg/ml
35°C
7 Dzień
Chronić od światła 4102
Poziom wiarygodności A+

  Mentions Légales