zadnja posodobitev :
17/12/2025
rak drog   Etoposide phosphate  
Brizgalka
Stabilnost raztopine Stabilnost mešanice Faktorji, ki vplivajo na stabilnost Kompatibilnost način aplikacije Viri pdf
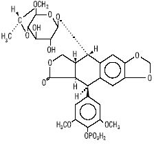
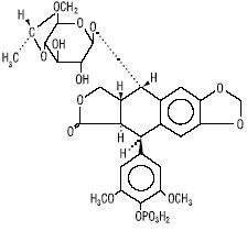
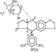
   Kemična formula  

Lastniško ime   Lastniško ime     

Sestava pomožnih snovi je med paralelami lahko različna

Etopofos Avstrija, Grčija, Švedska
Etopophos Belgija, Bolgarija, Francija, Izrael, Luksemburg, Nemčija, Nizozemska, nova Zelandija, Poljska, Švica, Velika Britanija, Združene države Amerike
Stabilnost mešanice   Brizgalka   Stabilnost mešanice : Etoposide phosphate     
Vsebnik Topilo Koncentracija Sestava Temperatura Shranjevanje Trajanje stabilnosti Viri
Poliolefin Natrijev klorid 0,9% 0,6 mg/ml
Brizgalka   Etoposide phosphate   
Brizgalka   Doxorubicin hydrochloride 0,12 mg/ml
Brizgalka   Vincristine sulfate 0,005 mg/ml
2-6°C
5 Dan
Zaščiteno pred svetlobo 1606
 Stopnja dokaza A
Poliolefin Natrijev klorid 0,9% 1,2 mg/ml
Brizgalka   Etoposide phosphate   
Brizgalka   Doxorubicin hydrochloride 0,24 mg/ml
Brizgalka   Vincristine sulfate 0,010 mg/ml
2-6°C
5 Dan
Zaščiteno pred svetlobo 1606
 Stopnja dokaza A
Poliolefin Natrijev klorid 0,9% 2 mg/ml
Brizgalka   Etoposide phosphate   
Brizgalka   Doxorubicin hydrochloride 0,4 mg/ml
Brizgalka   Vincristine sulfate 0,016 mg/ml
2-6°C
5 Dan
Z ali brez svetlobe 1606
 Stopnja dokaza A
Poliolefin Natrijev klorid 0,9% 0,6 mg/ml
Brizgalka   Etoposide phosphate   
Brizgalka   Doxorubicin hydrochloride 0,12 mg/ml
Brizgalka   Vincristine sulfate 0,005 mg/ml
35°C-40°C
5 Dan
Zaščiteno pred svetlobo 1606
 Stopnja dokaza A
Poliolefin Natrijev klorid 0,9% 1,2 mg/ml
Brizgalka   Etoposide phosphate   
Brizgalka   Doxorubicin hydrochloride 0,24 mg/ml
Brizgalka   Vincristine sulfate 0,010 mg/ml
35°C-40°C
5 Dan
Zaščiteno pred svetlobo 1606
 Stopnja dokaza A
Poliolefin Natrijev klorid 0,9% 2 mg/ml
Brizgalka   Etoposide phosphate   
Brizgalka   Doxorubicin hydrochloride 0,4 mg/ml
Brizgalka   Vincristine sulfate 0,016 mg/ml
35°C-40°C
5 Dan
Z ali brez svetlobe 1606
 Stopnja dokaza A
Poliizoprenski elastomer Natrijev klorid 0,9% 0,6 mg/ml
Brizgalka   Etoposide phosphate   
Brizgalka   Vincristine sulfate 0,005 mg/ml
Brizgalka   Doxorubicin hydrochloride 0,12 mg/ml
2-6°C
14 Dan
Nedoločeno 4102
 Stopnja dokaza A+
Poliizoprenski elastomer Natrijev klorid 0,9% 1,2 mg/ml
Brizgalka   Etoposide phosphate   
Brizgalka   Vincristine sulfate 0,01 mg/ml
Brizgalka   Doxorubicin hydrochloride 0,24 mg/ml
2-6°C
14 Dan
Nedoločeno 4102
 Stopnja dokaza A+
Poliizoprenski elastomer Natrijev klorid 0,9% 2 mg/ml
Brizgalka   Etoposide phosphate   
Brizgalka   Vincristine sulfate 0,016 mg/ml
Brizgalka   Doxorubicin hydrochloride 0,4 mg/ml
2-6°C
14 Dan
Nedoločeno 4102
 Stopnja dokaza A+
Poliizoprenski elastomer Natrijev klorid 0,9% 0,6 mg/ml
Brizgalka   Etoposide phosphate   
Brizgalka   Vincristine sulfate 0,005 mg/ml
Brizgalka   Doxorubicin hydrochloride 0,12 mg/ml
35°C
7 Dan
Zaščiteno pred svetlobo 4102
 Stopnja dokaza A+
Poliizoprenski elastomer Natrijev klorid 0,9% 1,2 mg/ml
Brizgalka   Etoposide phosphate   
Brizgalka   Vincristine sulfate 0,01 mg/ml
Brizgalka   Doxorubicin hydrochloride 0,24 mg/ml
35°C
7 Dan
Zaščiteno pred svetlobo 4102
 Stopnja dokaza A+
Poliizoprenski elastomer Natrijev klorid 0,9% 2 mg/ml
Brizgalka   Etoposide phosphate   
Brizgalka   Vincristine sulfate 0,016 mg/ml
Brizgalka   Doxorubicin hydrochloride 0,4 mg/ml
35°C
7 Dan
Zaščiteno pred svetlobo 4102
 Stopnja dokaza A+

  Mentions Légales