Last update :
17/12/2025
Anticancer drug   Etoposide phosphate  
injection
Stability in solutions Stability of mixtures Factors which affect stability Compatibility Route of administration References pdf
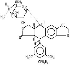
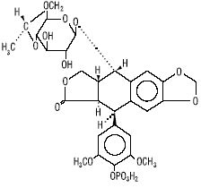
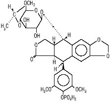
   Chemical structure  

Tradename   Tradename     

Trade names are indicative and excipients composition can be different depending on the country and manufacturers

Etopofos Austria, Greece, Sweden
Etopophos Belgium, Bulgaria, France, Germany, Great Britain, Israel, Luxembourg, Netherlands, New Zealand, Poland, Switzerland, United States of America
Stability of mixtures   injection   Stability of mixtures : Etoposide phosphate     
Container Solvent Concentration Compound Temperature Storage Duration of stability References
Polyolefine Sodium chloride 0,9% 0,6 mg/ml
injection   Etoposide phosphate   
injection   Doxorubicin hydrochloride 0,12 mg/ml
injection   Vincristine sulfate 0,005 mg/ml
2-6°C
5 Day
Protect from light 1606
Level of evidence A
Polyolefine Sodium chloride 0,9% 1,2 mg/ml
injection   Etoposide phosphate   
injection   Doxorubicin hydrochloride 0,24 mg/ml
injection   Vincristine sulfate 0,010 mg/ml
2-6°C
5 Day
Protect from light 1606
Level of evidence A
Polyolefine Sodium chloride 0,9% 2 mg/ml
injection   Etoposide phosphate   
injection   Doxorubicin hydrochloride 0,4 mg/ml
injection   Vincristine sulfate 0,016 mg/ml
2-6°C
5 Day
With or without light 1606
Level of evidence A
Polyolefine Sodium chloride 0,9% 0,6 mg/ml
injection   Etoposide phosphate   
injection   Doxorubicin hydrochloride 0,12 mg/ml
injection   Vincristine sulfate 0,005 mg/ml
35°C-40°C
5 Day
Protect from light 1606
Level of evidence A
Polyolefine Sodium chloride 0,9% 1,2 mg/ml
injection   Etoposide phosphate   
injection   Doxorubicin hydrochloride 0,24 mg/ml
injection   Vincristine sulfate 0,010 mg/ml
35°C-40°C
5 Day
Protect from light 1606
Level of evidence A
Polyolefine Sodium chloride 0,9% 2 mg/ml
injection   Etoposide phosphate   
injection   Doxorubicin hydrochloride 0,4 mg/ml
injection   Vincristine sulfate 0,016 mg/ml
35°C-40°C
5 Day
With or without light 1606
Level of evidence A
Polyisoprene elastomer Sodium chloride 0,9% 0,6 mg/ml
injection   Etoposide phosphate   
injection   Vincristine sulfate 0,005 mg/ml
injection   Doxorubicin hydrochloride 0,12 mg/ml
2-6°C
14 Day
Not specified 4102
Level of evidence A+
Polyisoprene elastomer Sodium chloride 0,9% 1,2 mg/ml
injection   Etoposide phosphate   
injection   Vincristine sulfate 0,01 mg/ml
injection   Doxorubicin hydrochloride 0,24 mg/ml
2-6°C
14 Day
Not specified 4102
Level of evidence A+
Polyisoprene elastomer Sodium chloride 0,9% 2 mg/ml
injection   Etoposide phosphate   
injection   Vincristine sulfate 0,016 mg/ml
injection   Doxorubicin hydrochloride 0,4 mg/ml
2-6°C
14 Day
Not specified 4102
Level of evidence A+
Polyisoprene elastomer Sodium chloride 0,9% 0,6 mg/ml
injection   Etoposide phosphate   
injection   Vincristine sulfate 0,005 mg/ml
injection   Doxorubicin hydrochloride 0,12 mg/ml
35°C
7 Day
Protect from light 4102
Level of evidence A+
Polyisoprene elastomer Sodium chloride 0,9% 1,2 mg/ml
injection   Etoposide phosphate   
injection   Vincristine sulfate 0,01 mg/ml
injection   Doxorubicin hydrochloride 0,24 mg/ml
35°C
7 Day
Protect from light 4102
Level of evidence A+
Polyisoprene elastomer Sodium chloride 0,9% 2 mg/ml
injection   Etoposide phosphate   
injection   Vincristine sulfate 0,016 mg/ml
injection   Doxorubicin hydrochloride 0,4 mg/ml
35°C
7 Day
Protect from light 4102
Level of evidence A+

  Mentions Légales