Letztes “update” :
18/03/2026
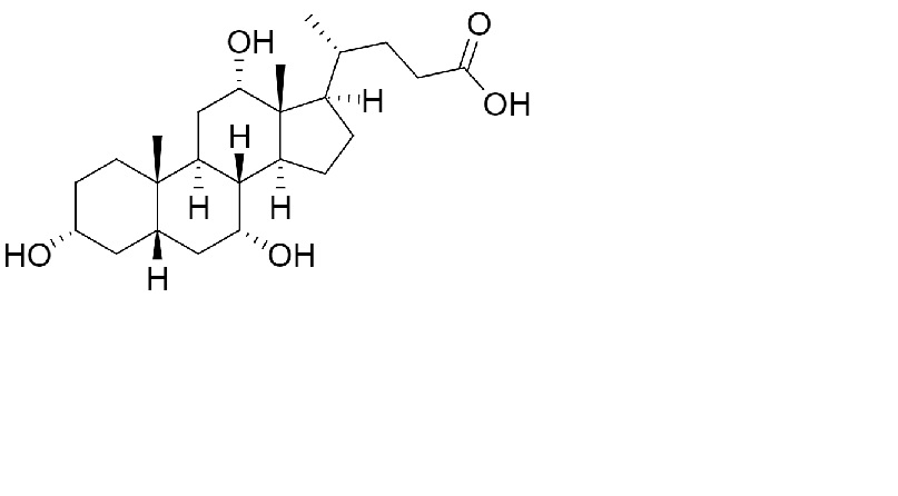
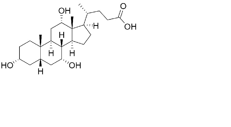
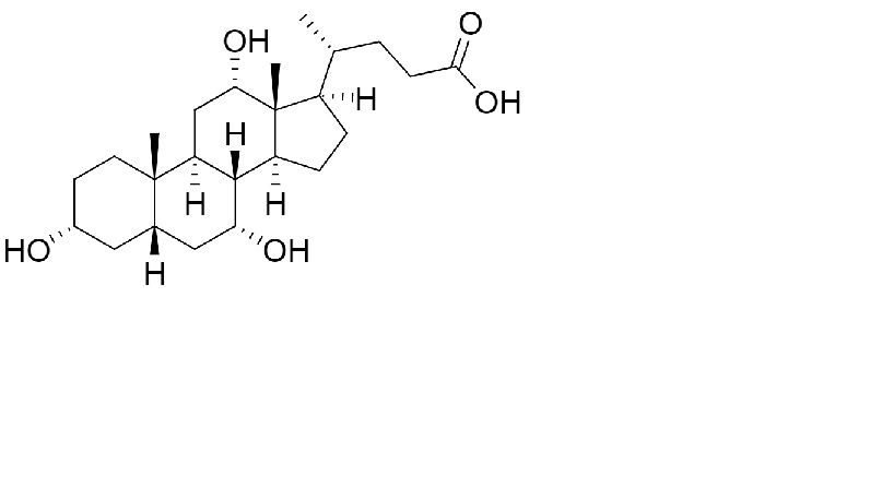
Verschiedenes   Cholic acid  
Kapsel (Singular !)
Stabilität von pharmazeutischen Präparaten Gemengestabilität Stabilitätbeeinflussende Faktoren Kompatibilitäten Literaturverzeichnis pdf
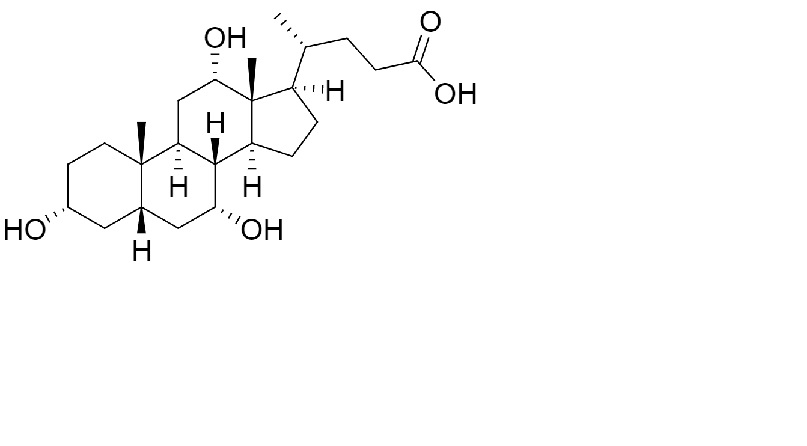
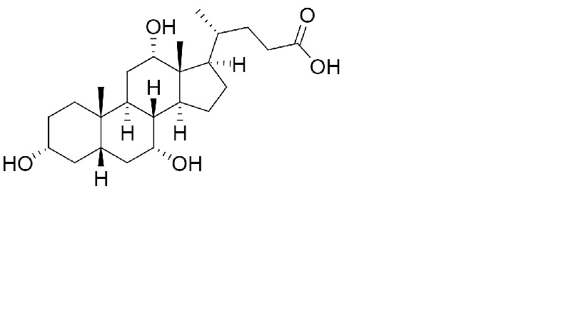
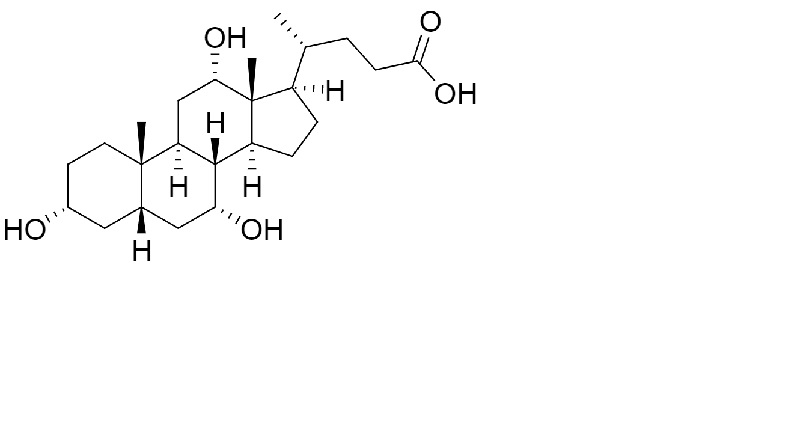
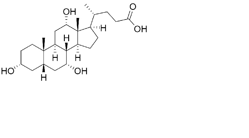
   Chemische Struktur  

Kapsel (Singular !)

Stabilitätbeeinflussende Faktoren   Kapsel (Singular !)   Stabilitätbeeinflussende Faktoren : Cholic acid        
Keine Daten

  Mentions Légales