fermer
Última actualización :
17/12/2025
Infostab
Lista de la molécula
Listas recapitulativas
Búsqueda de compatibilidades
Tabla de compatibilidad en Y
Bibliografía
Los equipos de investigación
valistab
póster
Vínculos
patrocinadores
Autores
Manual de instruciones
Boletín de noticias
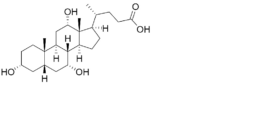
Cholic acid
Estructura química
Factores que influyen sobre la estabilidad : Cholic acid
Ausencia de datos
Mentions Légales