Siste oppdatering :
18/03/2026
Forskjellig   Cholic acid  
Kapsel
Stabilitet av farmasøytiske preparater Stabilitet i blandinger Faktorer som påvirker stabiliteten Kompatibilitet Referanser pdf
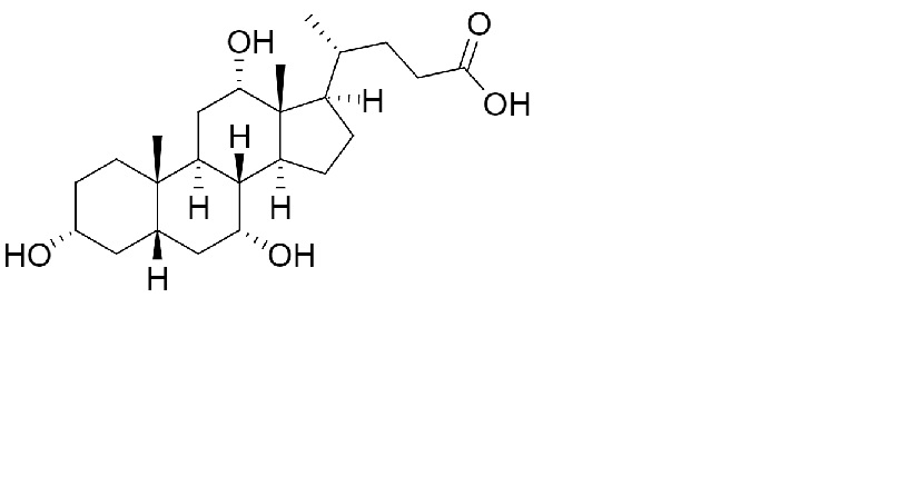
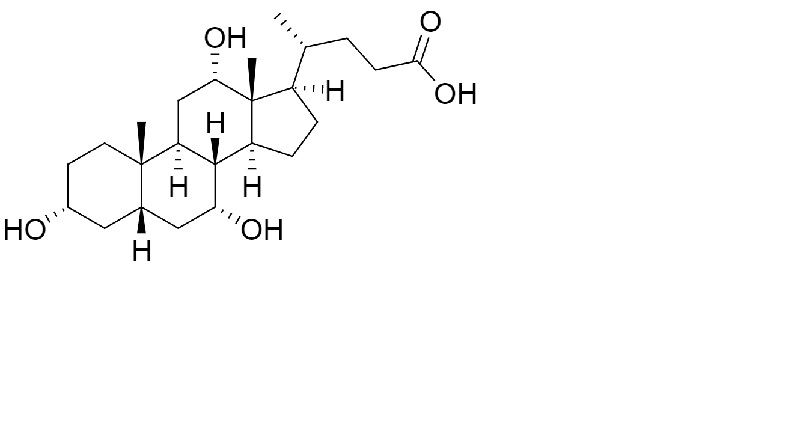
   Kjemisk struktur  

Kapsel

Faktorer som påvirker stabiliteten   Kapsel   Faktorer som påvirker stabiliteten : Cholic acid        
Ingen opplysninger

  Mentions Légales