Ultimele actualizari :
18/03/2026
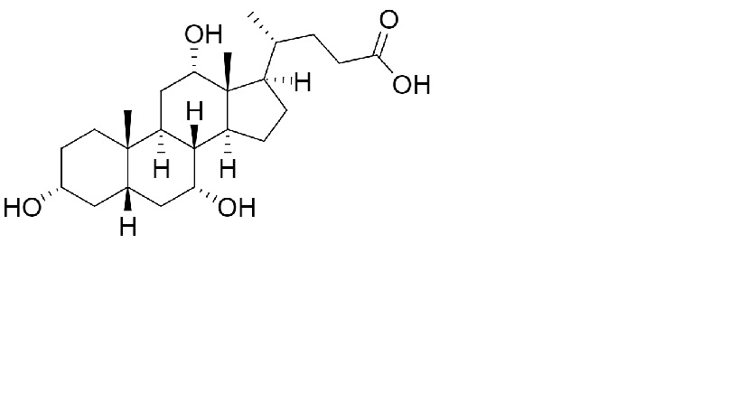
Diverse   Cholic acid  
Capsulă
Stabilitatea preparatelor farmaceutice Stabilitatea in amestec Factorii care influenteaza stabilitatea Compatibilitate Bibliografie pdf
   Formula chimica  

Capsulă

Factorii care influenteaza stabilitatea   Capsulă   Factorii care influenteaza stabilitatea : Cholic acid        
Absenta de date

  Mentions Légales