Ostatnia aktualizacja :
18/03/2026
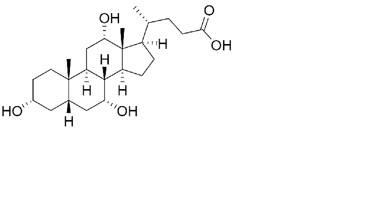
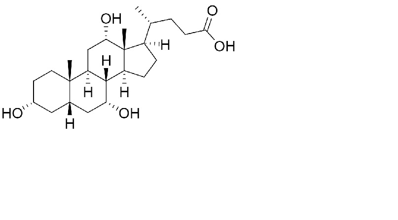
Różne   Cholic acid  
Kapsułka
Stabilność preparatów farmaceutycznych Trwałość w mieszaninie Czynnik wpływający na trwałość Zgodność Bibliografia pdf
   Struktura chemiczna  

Kapsułka

Czynnik wpływający na trwałość   Kapsułka   Czynnik wpływający na trwałość : Cholic acid        
Brak danych

  Mentions Légales