Последнее обновление :
18/03/2026
Разное   Cholic acid  
Капсула
Стабильность фармацевтических препаратов Стабильность смесей Факторы, которые влияют на стабильность Совместимость Библиография pdf
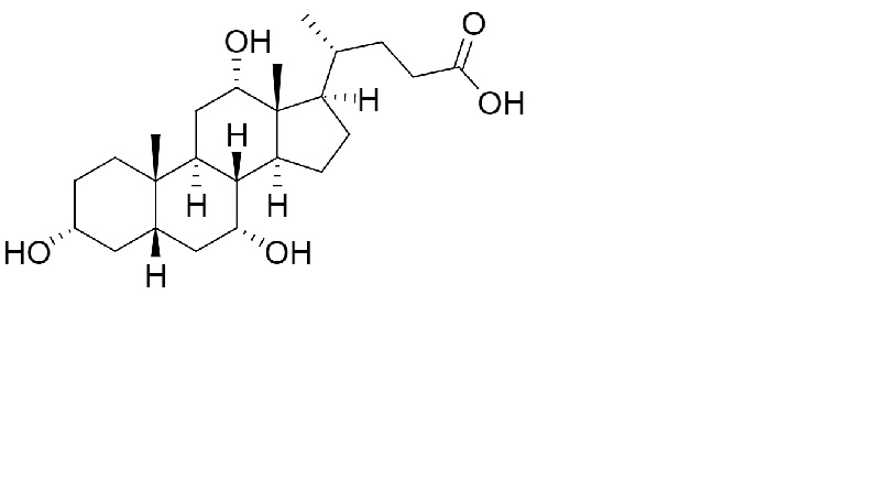
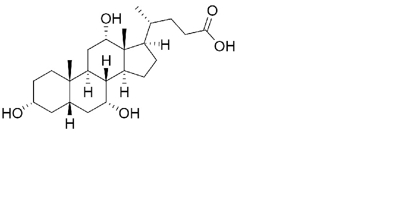
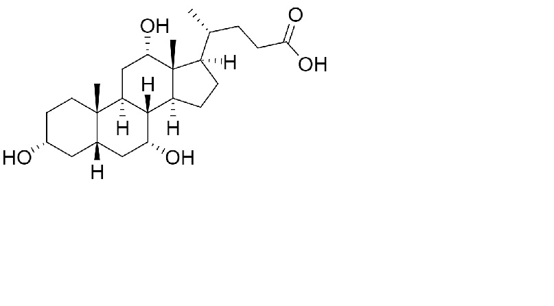
   Химическая структура  

Капсула

Факторы, которые влияют на стабильность   Капсула   Факторы, которые влияют на стабильность : Cholic acid        
данных нет

  Mentions Légales