Τελευταία ενημέρωση :
18/03/2026
Λοιπά   Cholic acid  
Κάψουλα
Σταθερότητα και συμβατότητα των φαρμάκων Σταθερότητα σε μίγματα Παράγοντας που επηρεάζει τη σταθερότητα Συμβατότητες Βιβλιογραφία pdf
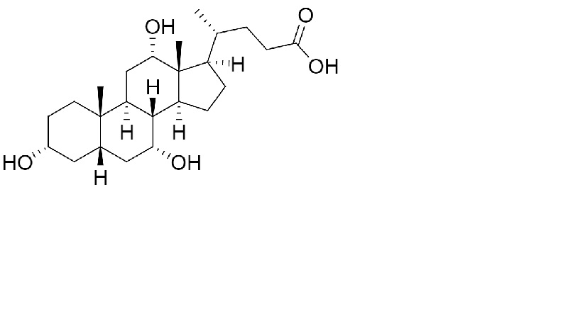
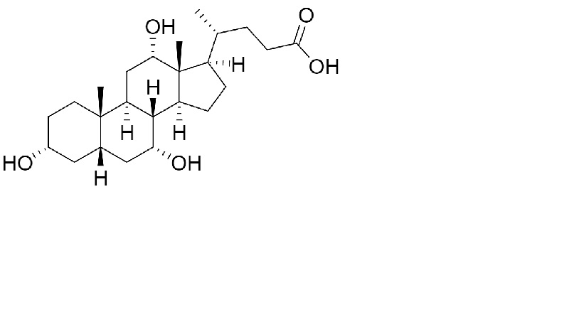
   χημική δομή  

Κάψουλα

Παράγοντας που επηρεάζει τη σταθερότητα   Κάψουλα   Παράγοντας που επηρεάζει τη σταθερότητα : Cholic acid        
Δεν υπάρχουν πληροφορίες

  Mentions Légales