Son güncelleme :
18/03/2026
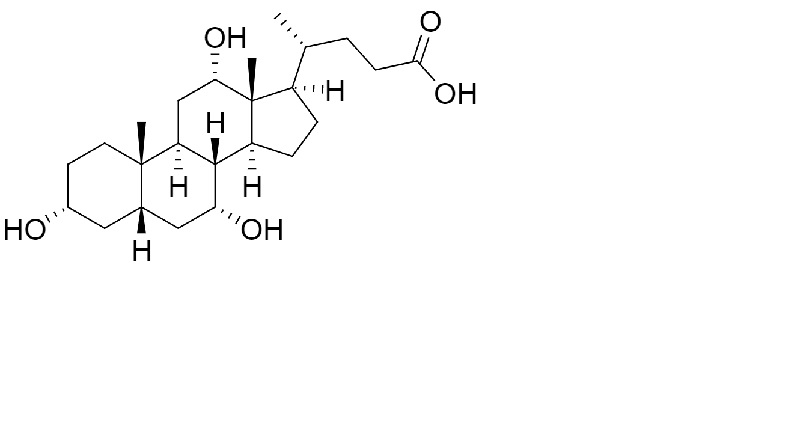
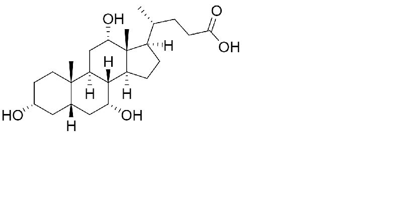
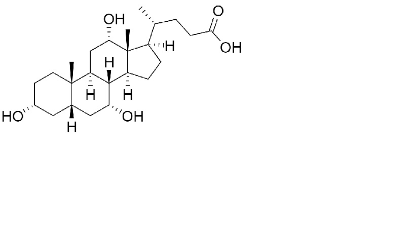
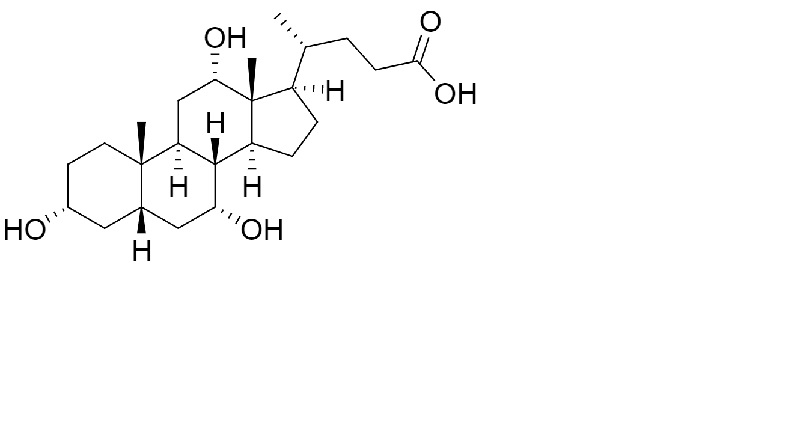
Çeşitli   Cholic acid  
Kapsül
Farmasötik preparatlar Kararlılığı Karışımlardaki stabilitesi Stabiliteyi etkileyen faktörler Uyumluluk Kaynaklar pdf
   Kimyasal yapı   

Kapsül

Stabiliteyi etkileyen faktörler    Kapsül   Stabiliteyi etkileyen faktörler : Cholic acid        
veri yok

  Mentions Légales