آخر تحديث :
18/03/2026
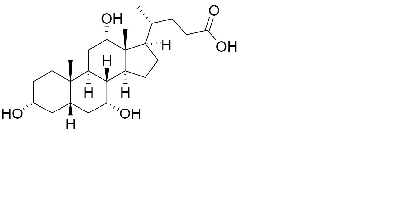
مختلف   Cholic acid  
كبسولة
استقرار المستحضرات الصيدلانية استقرار مخاليط العوامل التي تؤثر على الاستقرار التوافق مراجع pdf
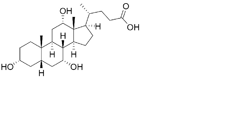
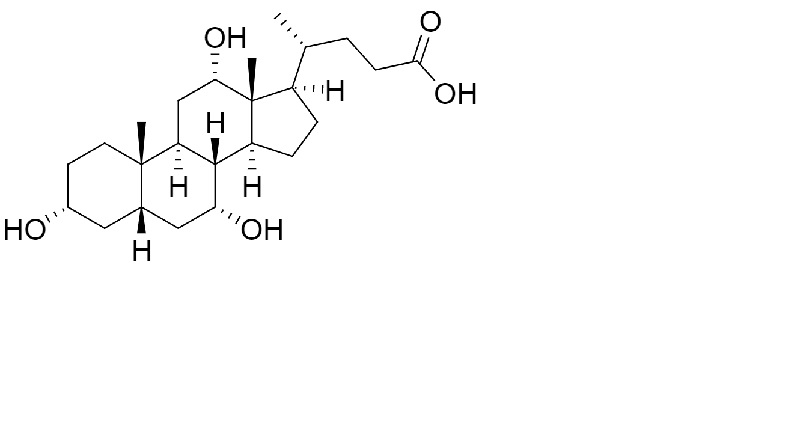
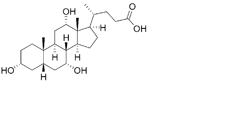
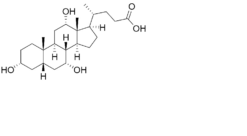
   التركيب الكيميائي  

كبسولة

العوامل التي تؤثر على الاستقرار   كبسولة   العوامل التي تؤثر على الاستقرار : Cholic acid        
لا توجد بيانات

  Mentions Légales