Poslední aktualizace :
18/03/2026
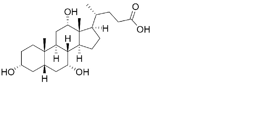
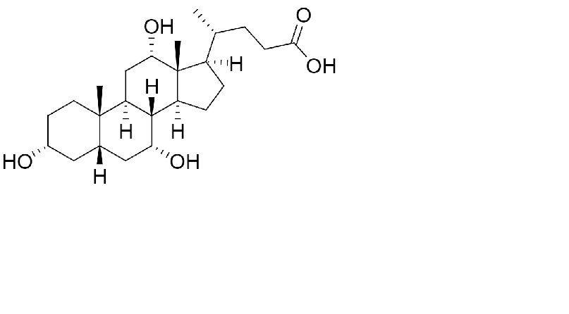
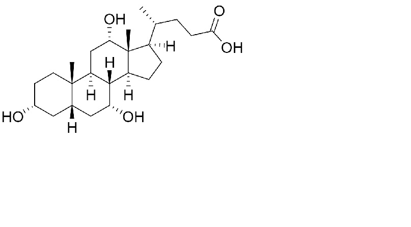
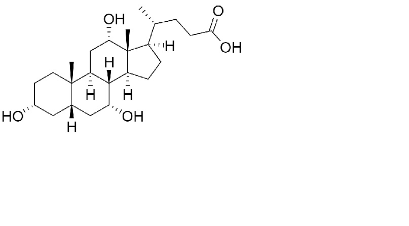
Různé   Cholic acid  
kapsle
Stabilita farmaceutických přípravků Stabilita směsí Faktory ovlivňující stabilitu Kompatibilita Odkazy pdf
   Chemický vzorec  

kapsle

Faktory ovlivňující stabilitu   kapsle   Faktory ovlivňující stabilitu : Cholic acid        
žádná data

  Mentions Légales