fermer
Zadnji put ažurirano :
17/12/2025
Infostab
Liste
Liste sazetaka
Potražite kompatibilnosti
Tablica kompatibilnosti Y-mjesta
Bibliografija
istraživačkih timova
valistab
Plakat
Linkovi
sponzori
Autor
Priručnik za korisnike
Bilten
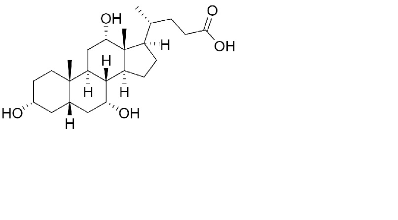
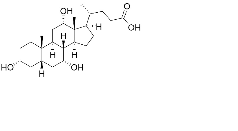
Cholic acid
Kemijska struktura
Stabilizacijski faktor : Cholic acid
bez podataka
Mentions Légales