zadnja posodobitev :
18/03/2026
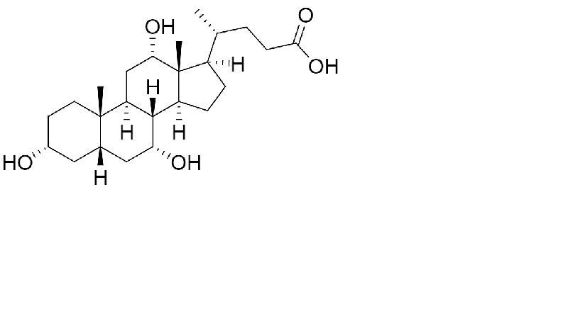
Različen   Cholic acid  
Kapsula
Stabilnost farmacevtskih preparatov Stabilnost mešanice Faktorji, ki vplivajo na stabilnost Kompatibilnost Viri pdf
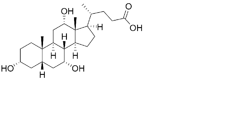
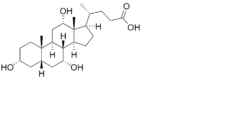
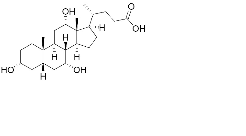
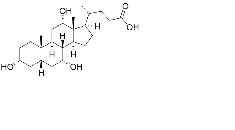
   Kemična formula  

Kapsula

Faktorji, ki vplivajo na stabilnost   Kapsula   Faktorji, ki vplivajo na stabilnost : Cholic acid        
ni podatka

  Mentions Légales