Utolsó frissítés :
18/03/2026
Különféle   Cholic acid  
kapszula
Stabilitása gyógyszerészeti készítmények A keverékek stabilitása Stabilitást befolyásoló tényezők Kompatibilitás Irodalom pdf
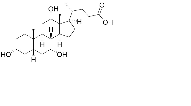
   Kémiai szerkezet   

kapszula

Stabilitást befolyásoló tényezők   kapszula   Stabilitást befolyásoló tényezők : Cholic acid        
Hiányzó adat

  Mentions Légales