最新更新 :
18/03/2026
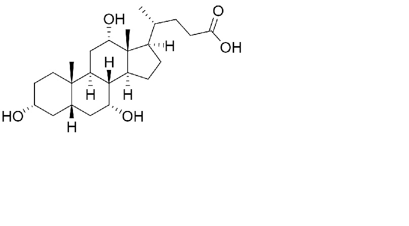
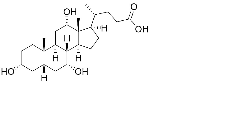
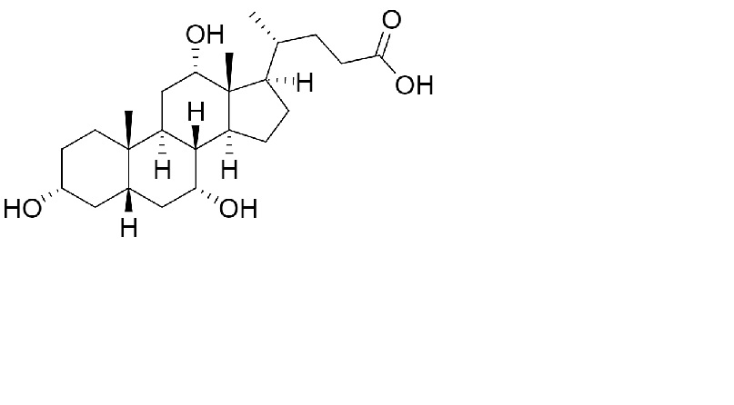
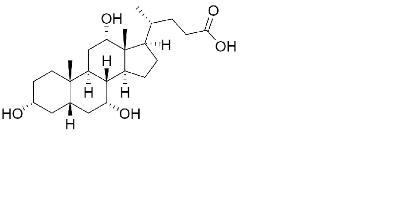
其它   Cholic acid  
胶囊
制剂的稳定性 混合物稳定性 影响稳定性的因素 兼容性 引用文献 PDF
   化学式  

胶囊

影响稳定性的因素   胶囊   影响稳定性的因素 : Cholic acid        
无数据

  Mentions Légales