viimane versioon :
18/03/2026
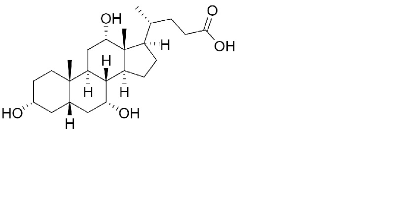
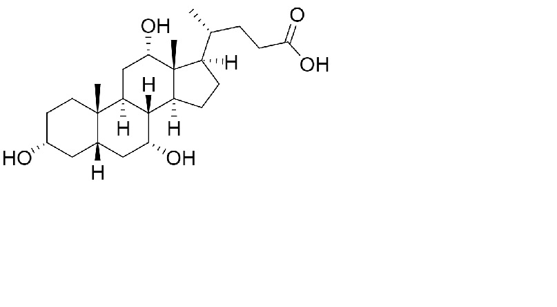
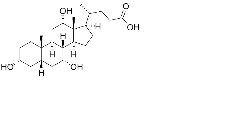
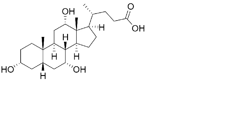
mitmesugune   Cholic acid  
kapsel
Stabiilsust ravimpreparaadid Stabiilsust mõjutavad tegurid stabiilsust mõjutavad faktorid Sobimatus Viited pdf
   keemiline struktuur  

kapsel

stabiilsust mõjutavad faktorid   kapsel   stabiilsust mõjutavad faktorid : Cholic acid        
andmed puuduvad

  Mentions Légales