最新更新 :
18/03/2026
様々なもの   Cholic acid  
カプセル
調剤時の安定性 混合時の安定性 安定性に影響する因子 互換性 引用文献 PDF
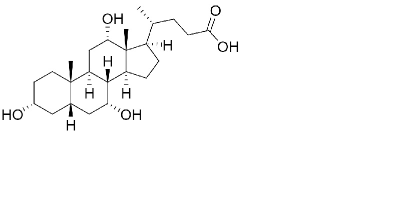
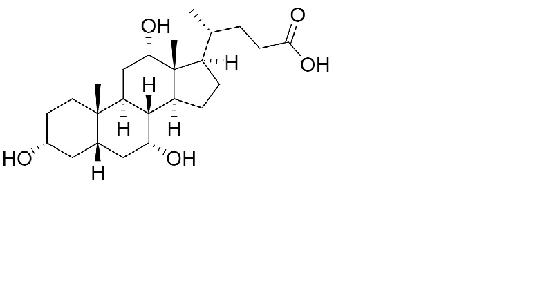
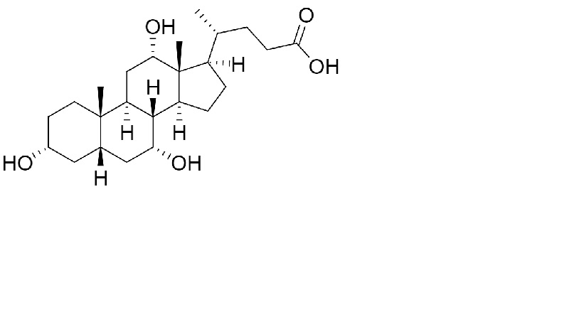
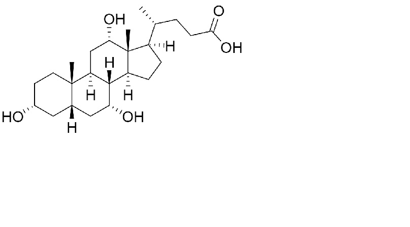
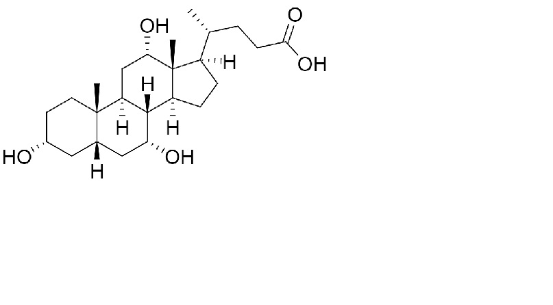
   化学構造  

カプセル

安定性に影響する因子   カプセル   安定性に影響する因子 : Cholic acid        
データなし

  Mentions Légales