Ultimo aggiornamento :
18/03/2026
Altro   Cholic acid  
Capsula
Stabilità dei preparati farmaceutici Stabilità in miscela Fattori che influenzano la stabilità Compatibilità Bibliografia pdf
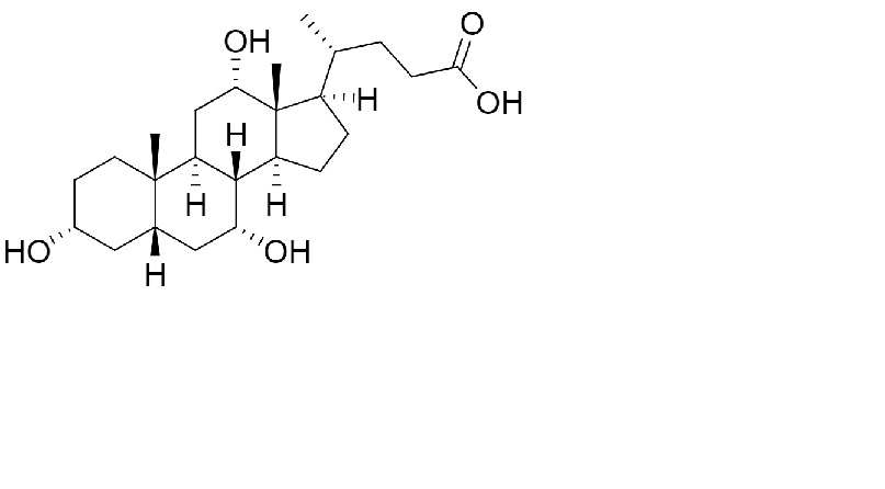
   Struttura chimica  

Capsula

Fattori che influenzano la stabilità   Capsula   Fattori che influenzano la stabilità : Cholic acid        
Assenza di dati

  Mentions Légales