Cập nhật lần cuối :
23/03/2026
Khác   Indocyanine green  
Dạng tiêm
Tính ổn định của các dung dịch Độ ổn định khi trộn lẫn Những yếu tố ảnh hưởng đến độ ổn định Khả năng tương thích Đường dùng Tài liệu tham khảo Pdf
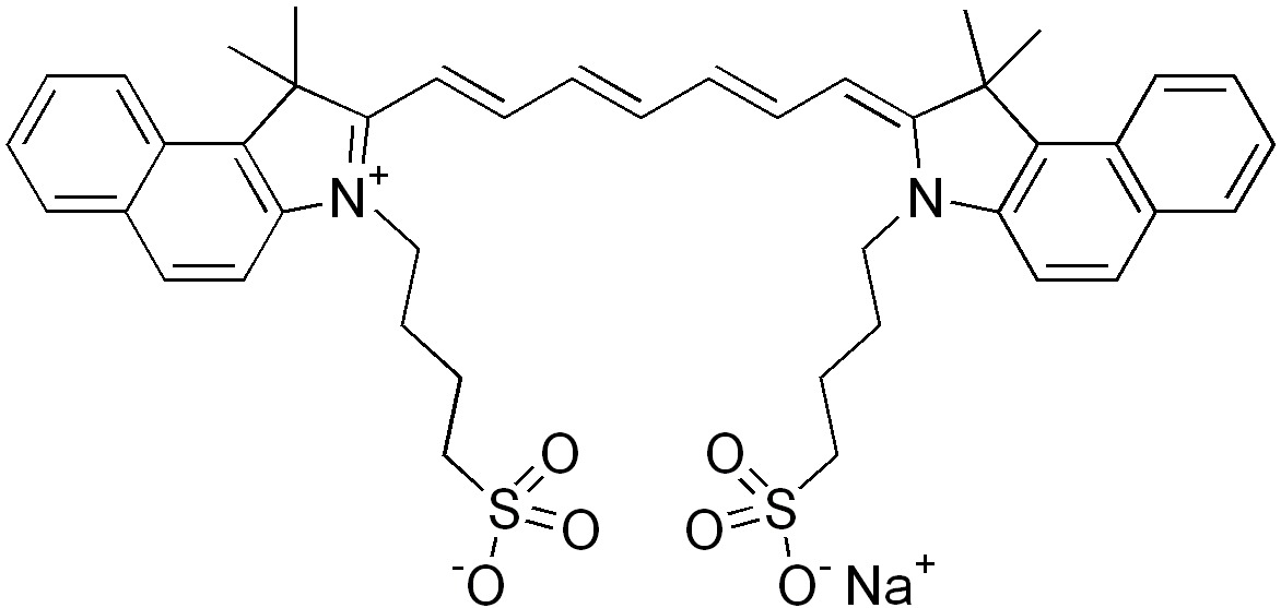
   Cấu trúc hóa học  

Tên thương mại   Tên thương mại     

Các tên thương mại được cung cấp và thành phần tá dược có thể khác nhau giữa các quốc gia và các hãng dược

Infracyanine Pháp
Verdye Bỉ, Hungary, Ireland, Romania, Tây Ban Nha, Thụy Điển, Ý, Đức

Những yếu tố ảnh hưởng đến độ ổn định   Dạng tiêm   Những yếu tố ảnh hưởng đến độ ổn định : Indocyanine green        
Mục lục
Bảo quản Ánh sáng Tạo thành Phân hủy 4289
Dung môi NaCl 0,9% Tạo thành Kết tủa 3930
Nhiệt độ 4°C Tạo thành Tăng độ ổn định 4289

  Mentions Légales