Siste oppdatering :
18/03/2026
Forskjellig   Indocyanine green  
Injeksjon
Oppløsningsstabilitet Stabilitet i blandinger Faktorer som påvirker stabiliteten Kompatibilitet Administrasjonsmåte Referanser pdf
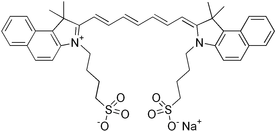
   Kjemisk struktur  

Handelsnavn   Handelsnavn     

Handelsnavn er veiledende og sammensetning av hjelpestoffer kan være forskjellig avhengig av land og produsent

Infracyanine Frankrike
Verdye Belgia, Irland, Italia, Romania, Spania, Sverige, Tyskland, Ungarn

Faktorer som påvirker stabiliteten   Injeksjon   Faktorer som påvirker stabiliteten : Indocyanine green        
Referanser
Oppbevaring Lys Induserer Degradasjon 4289
Oppløsningsmiddel Natriumklorid 0,9 % Induserer Utfelling 3930
Temperatur 4°C Induserer Økt stabilitet 4289

  Mentions Légales