Pēdējā atjaunošana :
18/03/2026
Dažādi   Indocyanine green  
Injekcija
Šķīduma stabilitāte Maisījuma stabilitāte Stabilitāti ietekmējoši faktori Saderība Levadīšanas veids Literatūras saraksts pdf
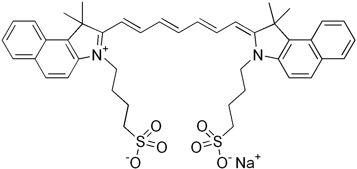
   Ķīmiskā uzbūve   

Oriģinālais nosaukums   Oriģinālais nosaukums     

Tirdzniecības nosaukumi ir apzīmējoši un palīgvielas var atšķirties dažādām valstīm un laboratorijām

Infracyanine Francija
Verdye Beļģija, Īrija, Itālija, Rumānija, Spānija, Ungārija, Vācija, Zviedrija

Stabilitāti ietekmējoši faktori   Injekcija   Stabilitāti ietekmējoši faktori : Indocyanine green        
Literatūras saraksts
Glabāšana Gaisma Izraisošs Deģenerācija 4289
Šķīdinātājs Nātrija hlorīds 0.9% Izraisošs Nogulsnes 3930
Temperatūra 4°C Izraisošs Uzlabot stabilitāti 4289

  Mentions Légales