Senaste uppdateringen :
23/03/2026
Diverse   Indocyanine green  
injektion
Lösningars stabilitet Stabilitet i blandningar Faktorer som påverkar stabiliteten Kompatibilitet Administreringssätt Hänvisningar pdf
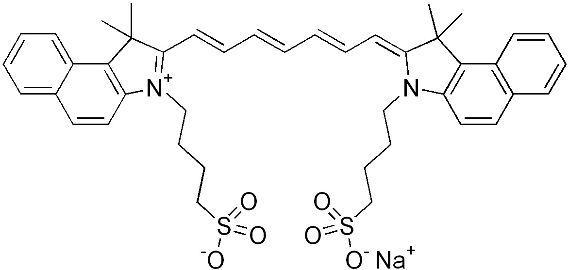
   Molekylstruktur  

Varunamn   Varunamn     

Angivna handelsnamn på läkemedel är enbart vägledande då formulering inklusive hjälpämnen kan variera mellan länder och tillverkare

Infracyanine Frankrike
Verdye Belgien, Irland, Italien, Rumänien, Spanien, Sverige, Tyskland, Ungern

Faktorer som påverkar stabiliteten   injektion   Faktorer som påverkar stabiliteten : Indocyanine green        
Hänvisningar
Förvaring Ljus Orsakar Nedbrytning 4289
Lösningsmedel Natriumklorid 0,9 % Orsakar Utfällning 3930
Temperatur 4°C Orsakar Ökad stabilitet 4289

  Mentions Légales