Poslední aktualizace :
23/03/2026
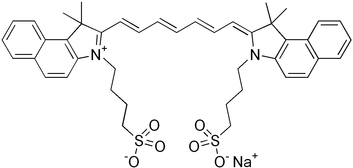
Různé   Indocyanine green  
injekce
Stabilita roztoků Stabilita směsí Faktory ovlivňující stabilitu Kompatibilita Způsoby aplikace Odkazy pdf
   Chemický vzorec  

Obchodní název   Obchodní název     

Trade names are indicative and excipients composition can be different depending on the country and manufacturers

Infracyanine Francie
Verdye äpanÏlsko, Belgie, Irsko, Itálie, MaÔarsko, NÏmecko, Rumunsko, Švédsko

Faktory ovlivňující stabilitu   injekce   Faktory ovlivňující stabilitu : Indocyanine green        
Odkazy
Uchovávání SvÏtlo Indukuje Rozklad 4289
RozpouötÏdlo Chlorid sodný 0,9% Indukuje Sraûenina 3930
Teplota 4°C Indukuje Zvýšená stabilita 4289

  Mentions Légales