Posledná aktualizácia :
18/03/2026
rôzne   Indocyanine green  
Injekcia
Stabilita roztokov Stabilita v zmesiach Faktory ovplyvňujúce stabilitu Kompatibility spôsob podania Odkazy na literatúru PDF
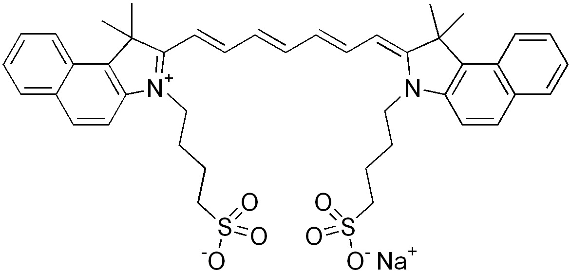
   Chemický vzorec  

Obchodný názov   Obchodný názov     

Obchodné názvy sú orientačné, a zloženie pomocných látok sa môže líšiť v závislosti od krajiny a výrobcu.

Infracyanine Francúzsko
Verdye Belgicko, Írsko, Maďarsko, Nemecko, Rumunsko, Španielsko, Švédsko, Taliansko

Faktory ovplyvňujúce stabilitu   Injekcia   Faktory ovplyvňujúce stabilitu : Indocyanine green        
odkazy na lieteratúru
uchovávanie Za svetla indukuje degradácia 4289
rozpúšťadlo 0,9% chlorid sodný indukuje zrážanie 3930
teplota 4°C indukuje zlepšená stabilita 4289

  Mentions Légales