Last update :
04/02/2026
Various   Indocyanine green  
injection
Stability in solutions Stability of mixtures Factors which affect stability Compatibility Route of administration References pdf
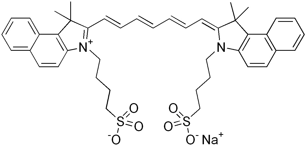
   Chemical structure  

Tradename   Tradename     

Trade names are indicative and excipients composition can be different depending on the country and manufacturers

Infracyanine France
Verdye Belgium, Germany, Hungary, Ireland, Italy, Romania, Spain, Sweden

Factors which affect stability   injection   Factors which affect stability : Indocyanine green        
References
Storage Light Induces Degradation 4289
Solvent Sodium chloride 0,9% Induces Precipitation 3930
Temperature 4°C Induces Enhanced stability 4289

  Mentions Légales