Utolsó frissítés :
23/03/2026
Különféle   Indocyanine green  
Injekció
Az oldatok stabilitása A keverékek stabilitása Stabilitást befolyásoló tényezők Kompatibilitás Az alkalmazás módja Irodalom pdf
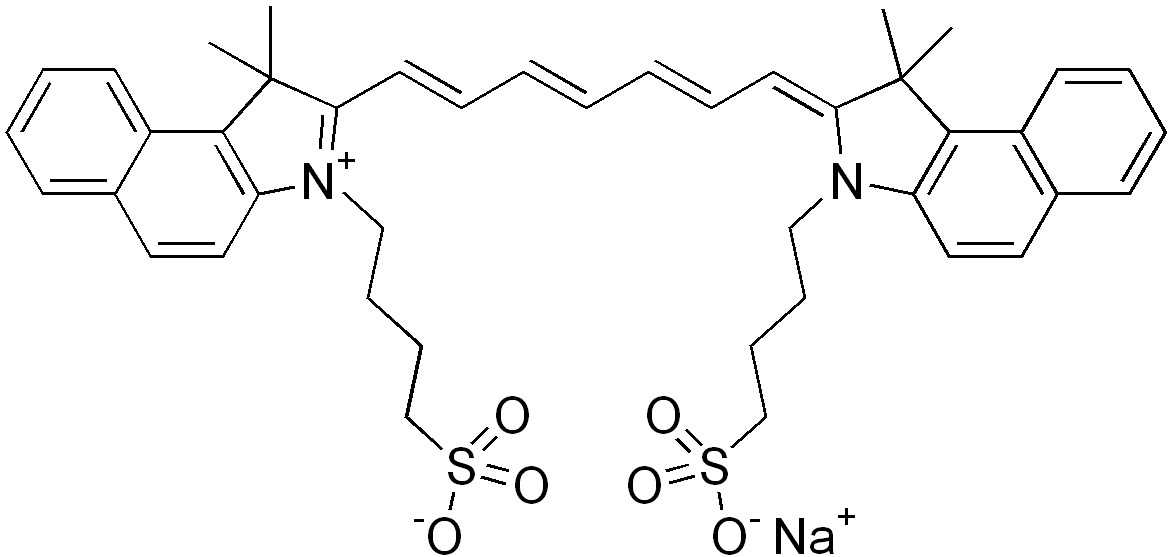
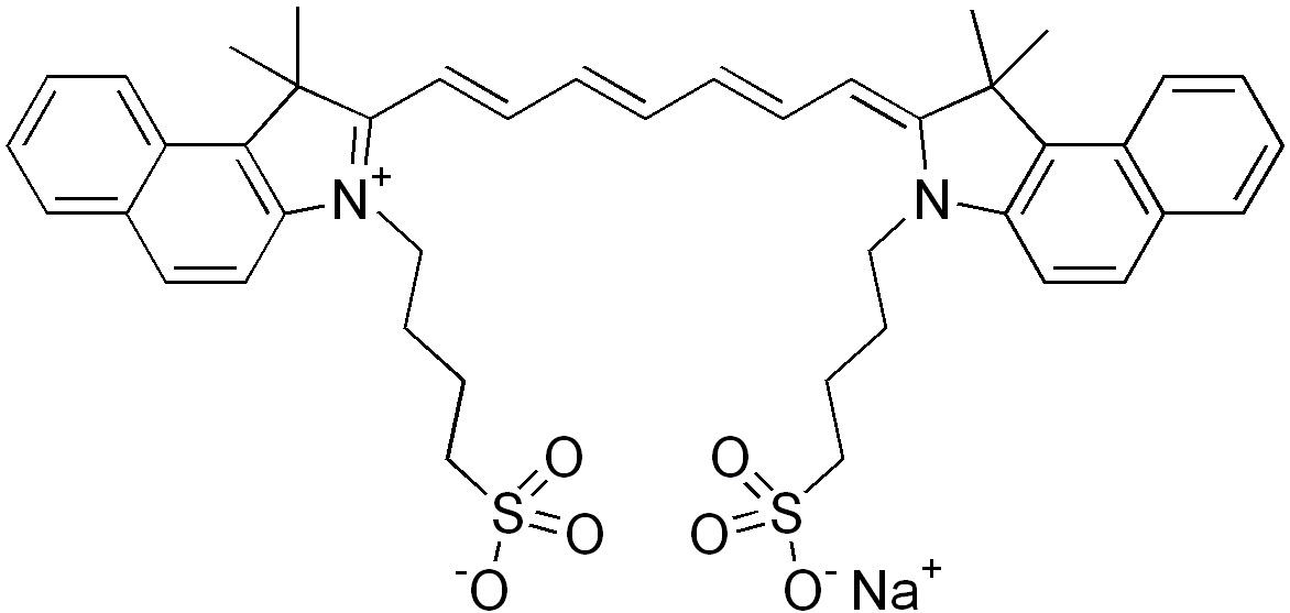
   Kémiai szerkezet   

Kereskedelmi név   Kereskedelmi név     

A kereskedelmi név meghatározó jelentőségű: a készítmények összetétele országonként, előállítóként eltérő lehet

Infracyanine Franciaország
Verdye Belgium, Írország, Magyarország, Németország, Olaszország, Románia, Spanyolország, Svédország

Stabilitást befolyásoló tényezők   Injekció   Stabilitást befolyásoló tényezők : Indocyanine green        
Irodalom
Tárolás Fény Előidéz Lebomlás 4289
Oldószer 0,9% nátrium-klorid Előidéz Lecsapódás 3930
Hőmérséklet 4°C Előidéz Stabilitás  növekedés 4289

  Mentions Légales