Seneste opdatering :
18/03/2026
Diverse   Indocyanine green  
Injektion
Stabilitet i (vandige) opløsninger Stabilitet i blandinger Faktorer der påvirker stabiliteten Kompatibilitet Administrationsvej Bibliografi pdf
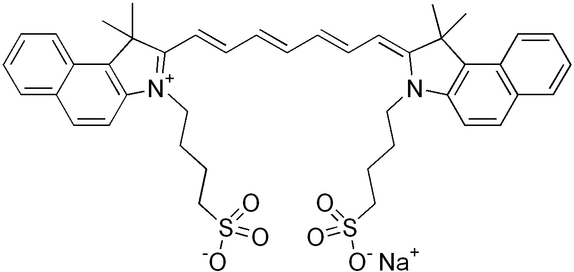
   Kemisk struktur  

Handelsnavn   Handelsnavn     

Handel navne er vejledende og hjælpestoffer sammensætning kan være forskellig afhængigt af landet og laboratorier

Infracyanine Frankrig
Verdye Belgien, Irland, Italien, Rumænien, Spanien, Sverige, Tyskland, Ungarn

Faktorer der påvirker stabiliteten   Injektion   Faktorer der påvirker stabiliteten : Indocyanine green        
Bibliografi
Konservering Lys Fremkalde Nedbrydning 4289
Opløsningsmiddel 0,9 % Natriumklorid Fremkalde Udfældning 3930
Temperatur 4°C Fremkalde Øget stabilitet 4289

  Mentions Légales