Ostatnia aktualizacja :
05/12/2025
Różne   Indocyanine green  
Injekcje
Trwałość roztworów Trwałość w mieszaninie Czynnik wpływający na trwałość Zgodność Sposób podania Bibliografia pdf
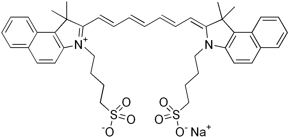
   Struktura chemiczna  

Nazwa handlowa   Nazwa handlowa     

Trade names are indicative and excipients composition can be different depending on the country and manufacturers

Infracyanine Francja
Verdye Belgia, Hiszpania, Irlandia, Niemcy, Rumunia, Szwecja, Węgry, Włochy
Sposób podania   Sposób podania :Indocyanine green     
Voie
Podanie dożylne

  Mentions Légales