Letztes “update” :
23/03/2026
Verschiedenes   Indocyanine green  
Injektion
Stabilität der Lösung Gemengestabilität Stabilitätbeeinflussende Faktoren Kompatibilitäten Applikationsart Literaturverzeichnis pdf
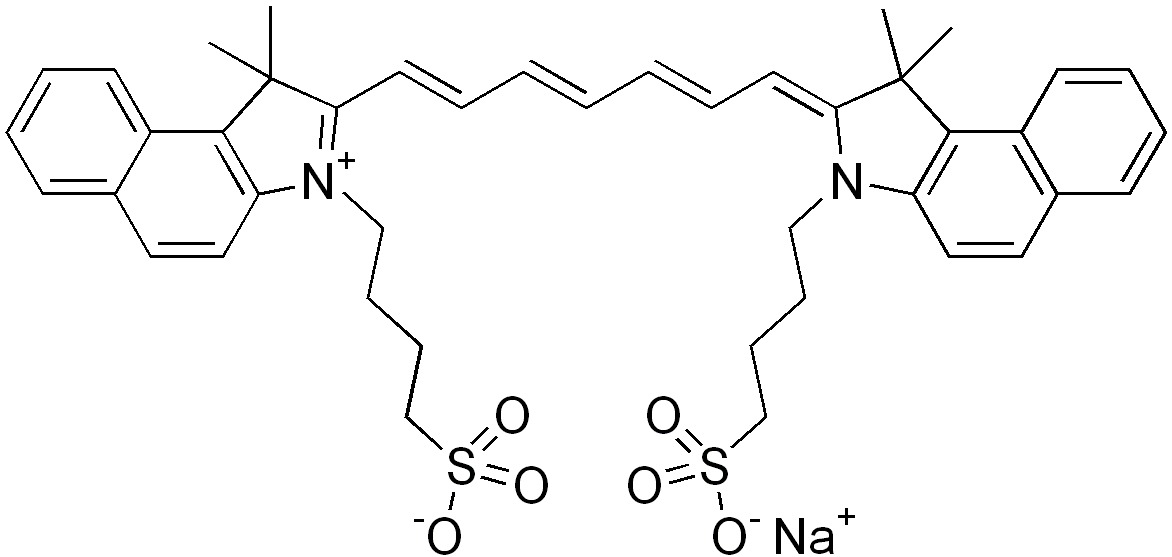
   Chemische Struktur  

Handelsmarke   Handelsmarke     

Handelsnamen sind als beispielhaft anzusehen. Sonstige Bestandteile können je nach Hersteller oder Land verschieden sein

Infracyanine Frankreich
Verdye Belgien, Deutschland, Irland, Italien, Rumänien, Schweden, Spanien, Ungarn

Stabilitätbeeinflussende Faktoren   Injektion   Stabilitätbeeinflussende Faktoren : Indocyanine green        
Literaturverzeichnis
Konservierung Licht Führt zu Degradation 4289
Lösungsmittel 0,9% Natriumchlorid Führt zu Niederschlag 3930
Temperatur 4°C Führt zu Stabilitätssteigerung 4289

  Mentions Légales