Viimeisin päivitys :
23/03/2026
Muut   Indocyanine green  
Injektioneste
Stabilius liuoksessa Stabilius seoksissa Tekijät, jotka vaikuttavat stabiliuteen Yhteensopivuus Antotapa Viitteet pdf
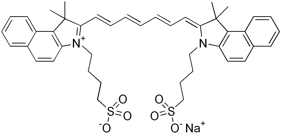
   Kemiallinen rakenne  

Kauppanimi   Kauppanimi     

Trade names are indicative and excipients composition can be different depending on the country and manufacturers

Infracyanine Ranska
Verdye Belgia, Espanja, Irlanti, Italia, Romania, Ruotsi, Saksa, Unkari

Tekijät, jotka vaikuttavat stabiliuteen   Injektioneste   Tekijät, jotka vaikuttavat stabiliuteen : Indocyanine green        
Viitteet
Säilytys Valo Aiheuttaa Hajoaminen 4289
Liuotin Natriumkloridi 0,9% Aiheuttaa Saostuminen 3930
Lämpötila 4°C Aiheuttaa Lisääntynyt stabilius 4289

  Mentions Légales