Последно актуализиране :
18/03/2026
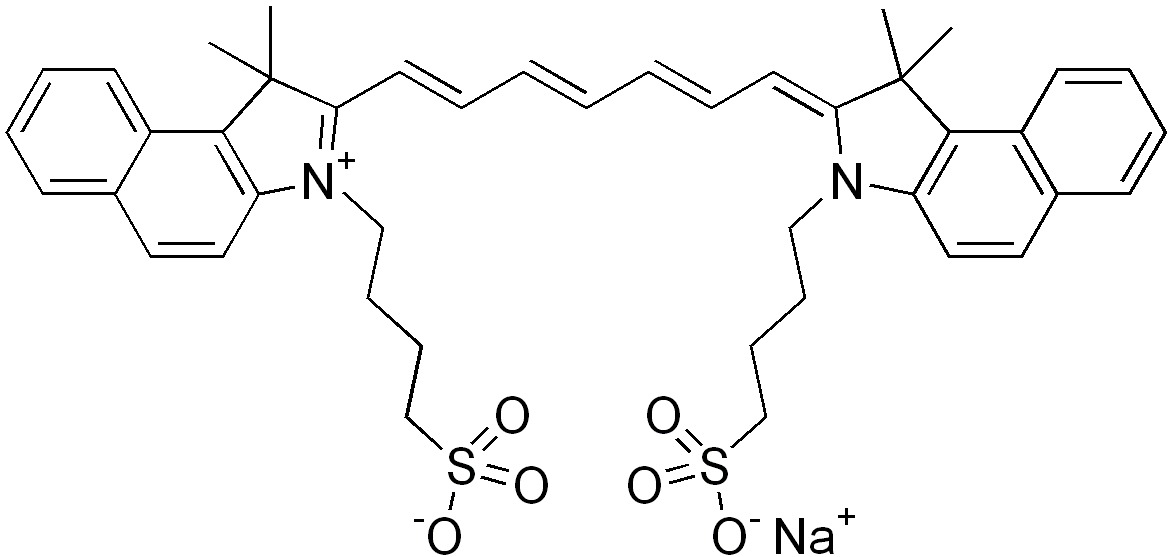
Други   Indocyanine green  
Инжекция/Инжекционен
Стабилност на разтвори Стабилност на смеси Фактори, повлияващи стабилността Съвместимост Път на въвеждане Библиография Pdf
   Химична структура  

Търговско наименование   Търговско наименование     

Търговските имена са примерни и съставът на помощните вещества може да бъде различен в зависимост от държавата и лабораториите

Infracyanine Франция
Verdye Белгия, Германия, Ирландия, Испания, Италия, Румъния, Унгария, Швеция

Фактори, повлияващи стабилността   Инжекция/Инжекционен   Фактори, повлияващи стабилността : Indocyanine green        
Библиография
Съхранение Светлина Предизвиква Разграждане 4289
Разтворител Sodium chloride 0,9% Предизвиква Преципитация 3930
Температура 4°C Предизвиква Увеличена стабилност 4289

  Mentions Légales