Последнее обновление :
18/03/2026
Разное   Indocyanine green  
Инъекция
Стабильность растворов Стабильность смесей Факторы, которые влияют на стабильность Совместимость Способы введения Библиография pdf
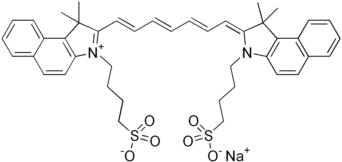
   Химическая структура  

Товарное название   Товарное название     

Trade names are indicative and excipients composition can be different depending on the country and manufacturers

Infracyanine Франция
Verdye Бельгия, Венгрия, Германия, Ирландия, Испания, Италия, Румыния, Швеция

Факторы, которые влияют на стабильность   Инъекция   Факторы, которые влияют на стабильность : Indocyanine green        
Ссылки
Хранение Свет Стимулирует Деградация 4289
Растворитель Натрия хлорид 0,9% Стимулирует Осадок 3930
Температура 4°C Стимулирует Стабильность 4289

  Mentions Légales