Poslední aktualizace :
18/03/2026
Įvairūs   Indocyanine green  
Įpurškimas
Tirpalų stabilumas Mišinių stabilumas Stabilumą lemiantys veiksniai Suderinamumas Leidimo būdai Bibliografija pdf
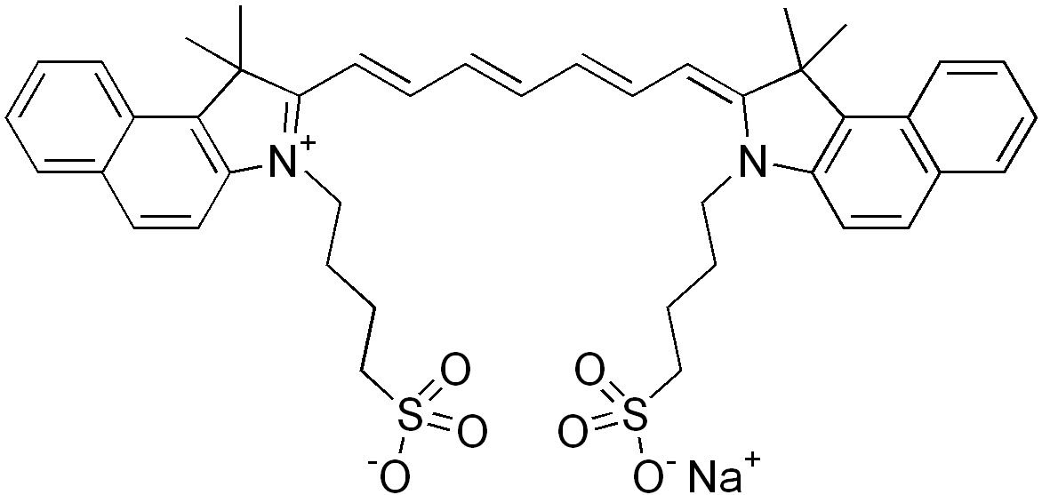
   Cheminė sandara  

Prekinis pavadinimas   Prekinis pavadinimas     

Trade names are indicative and excipients composition can be different depending on the country and manufacturers

Infracyanine Prancūzija
Verdye Airija, Belgija, Ispanija, Italija, Rumunija, Švedija, Vengrija, Vokietija

Stabilumą lemiantys veiksniai   Įpurškimas   Stabilumą lemiantys veiksniai : Indocyanine green        
Nuorodos
Laikymas Šviesa Skatina Skilimas 4289
Tirpiklis Natrio chloridas 0,9% Skatina Nusėdimas 3930
Temperatūra 4°C Skatina Didesnis stabilumas 4289

  Mentions Légales