Última actualización :
18/03/2026
Varios   Indocyanine green  
Inyectables
Estabilidad en solucion Estabilidad en mezcla Factores que influyen sobre la estabilidad Compatibilidades método de inyección Bibliografía pdf
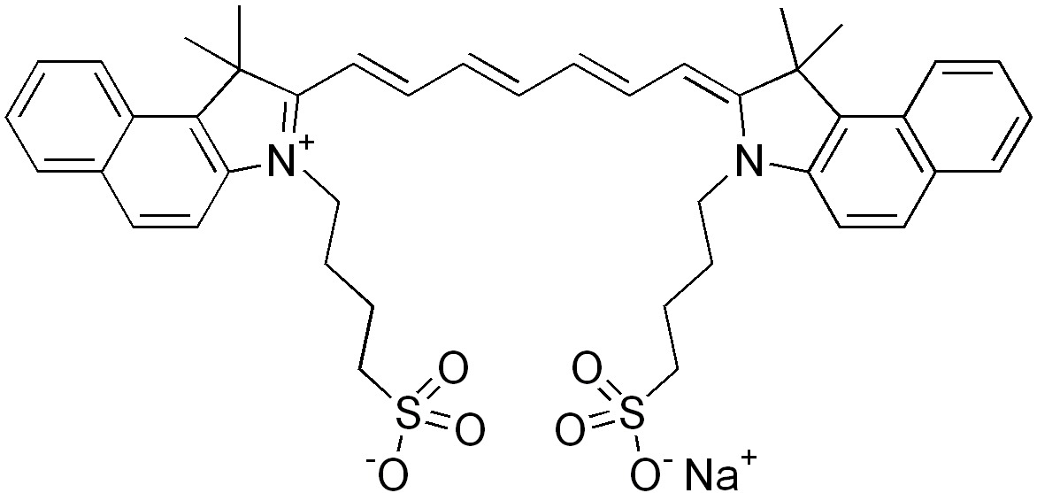
   Estructura química  

Nombre comercial   Nombre comercial     

Los nombres comerciales son orientativos y los excipientes de la formulación pueden ser distintos dependiendo del país y del laboratorio fabricante.

Infracyanine Francia
Verdye Alemania, Bélgica, España, Hungría, Irlanda, Italia, Rumania, Suecia

Factores que influyen sobre la estabilidad   Inyectables   Factores que influyen sobre la estabilidad : Indocyanine green        
Bibliografía
Conservación Luz Provoque Degradación 4289
Solvente Cloruro de sodio 0,9% Provoque Precipitación 3930
Temperatura 4°C Provoque Aumento de la estabilidad 4289

  Mentions Légales