Ultimo aggiornamento :
18/03/2026
Altro   Indocyanine green  
Iniezione
Stabilità in soluzione Stabilità in miscela Fattori che influenzano la stabilità Compatibilità metodo di iniezione Bibliografia pdf
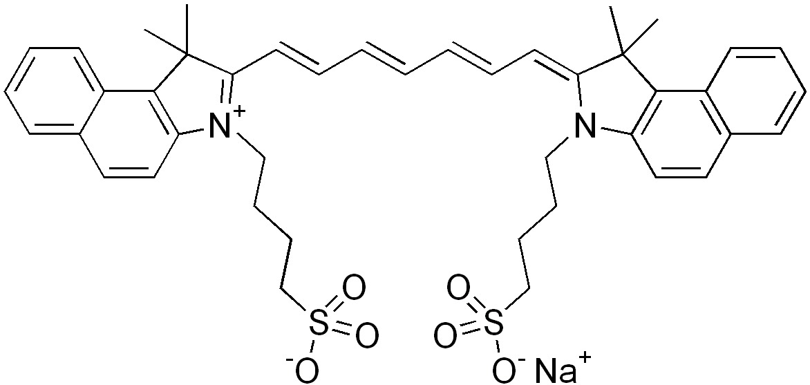
   Struttura chimica  

Nome commerciale   Nome commerciale     

Trade names are indicative and excipients composition can be different depending on the country and manufacturers

Infracyanine Francia
Verdye Belgio, Germania, Irlanda, Italia, Romania, Spagna, Svezia, Ungheria

Fattori che influenzano la stabilità   Iniezione   Fattori che influenzano la stabilità : Indocyanine green        
Bibliografia
Conservazione Luce Provoca Degradazione 4289
Solvente Cloruro di sodio 0,9% Provoca Precipitazione 3930
Temperatura 4°C Provoca Aumento della stabilità 4289

  Mentions Légales