آخر تحديث :
18/03/2026
مختلف   Indocyanine green  
حقن
الاستقرار في حلول استقرار مخاليط العوامل التي تؤثر على الاستقرار التوافق طريقة التعاطي مراجع pdf
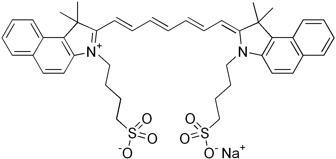
   التركيب الكيميائي  

حجز الاسم التجاري   حجز الاسم التجاري     

تحذير الأسماء التجاريه المختلفه قد تحتوي علي محتوي إضافات مختلفة حسب الدوله و المعمل

Infracyanine فرنسا
Verdye ألمانيا, إسبانيا, إيطاليا, السويد, ايرلندا, بلجيكا, رومانيا, هنغاريا

العوامل التي تؤثر على الاستقرار   حقن   العوامل التي تؤثر على الاستقرار : Indocyanine green        
مراجع
تخزين ضوء الحث انحلال 4289
مذيب كلوريد الصوديوم 0.9% الحث ترسيب 3930
درجة الحرارة 4°C الحث تعزيز الاستقرار 4289

  Mentions Légales