Cập nhật lần cuối :
05/12/2025
Kháng sinh   Netilmicin sulfate   
Khí dung
Dạng tiêm
Tính ổn định của các chế phẩm Độ ổn định khi trộn lẫn Những yếu tố ảnh hưởng đến độ ổn định Khả năng tương thích Tài liệu tham khảo Pdf
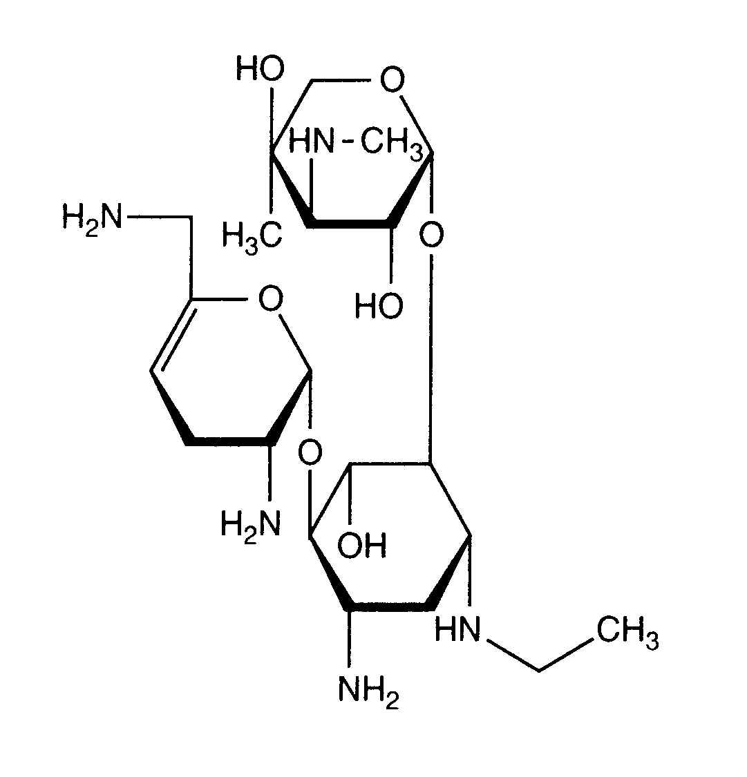
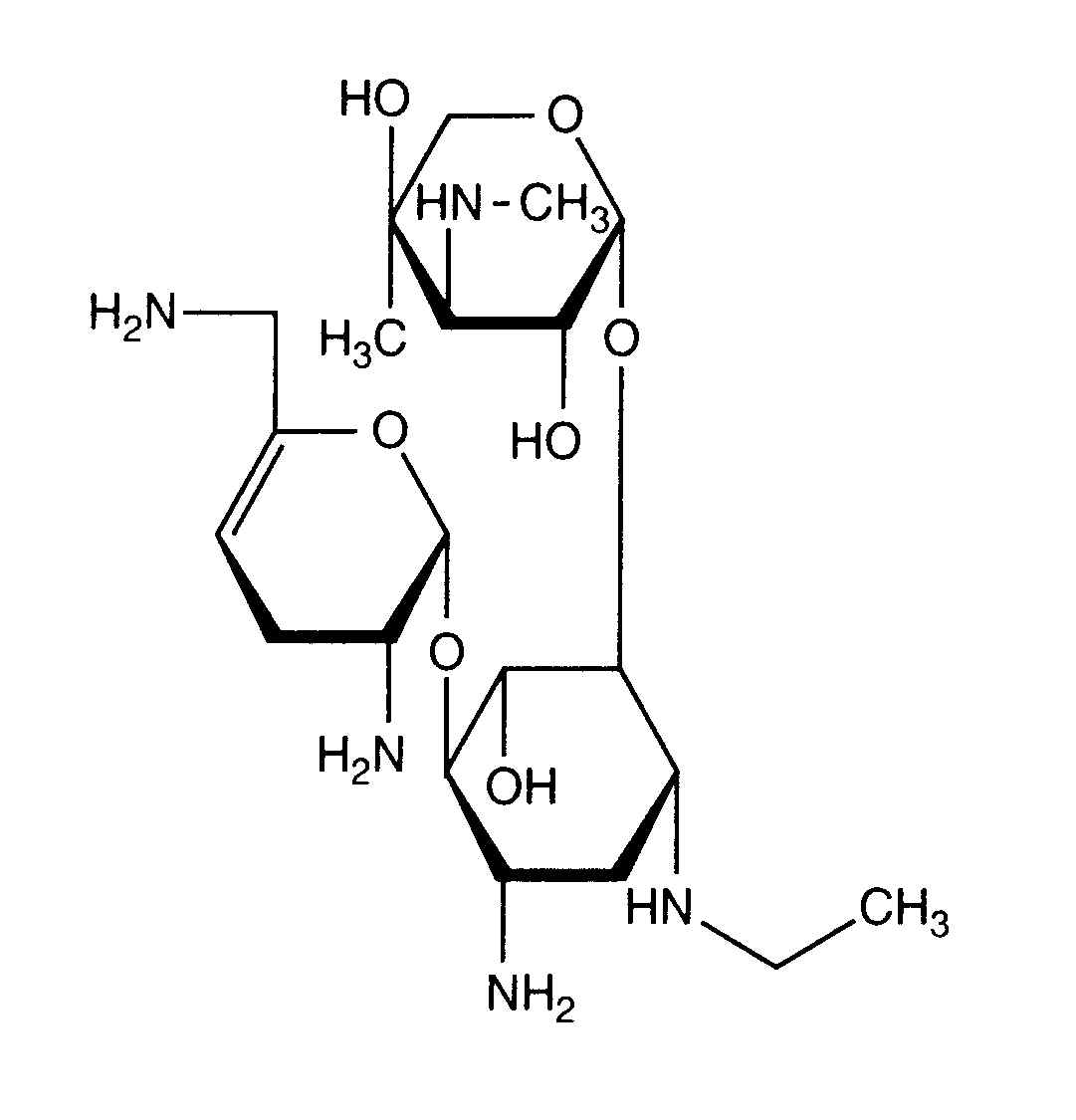
   Cấu trúc hóa học  

Khí dung
Khả năng tương thích   Khí dung   Khả năng tương thích : Netilmicin sulfate               
Không có dữ liệu

  Mentions Légales