Last update :
18/03/2026
Antibiotic   Netilmicin sulfate   
aerosol
injection
Stability of pharmaceutical preparations Stability of mixtures Factors which affect stability Compatibility References pdf
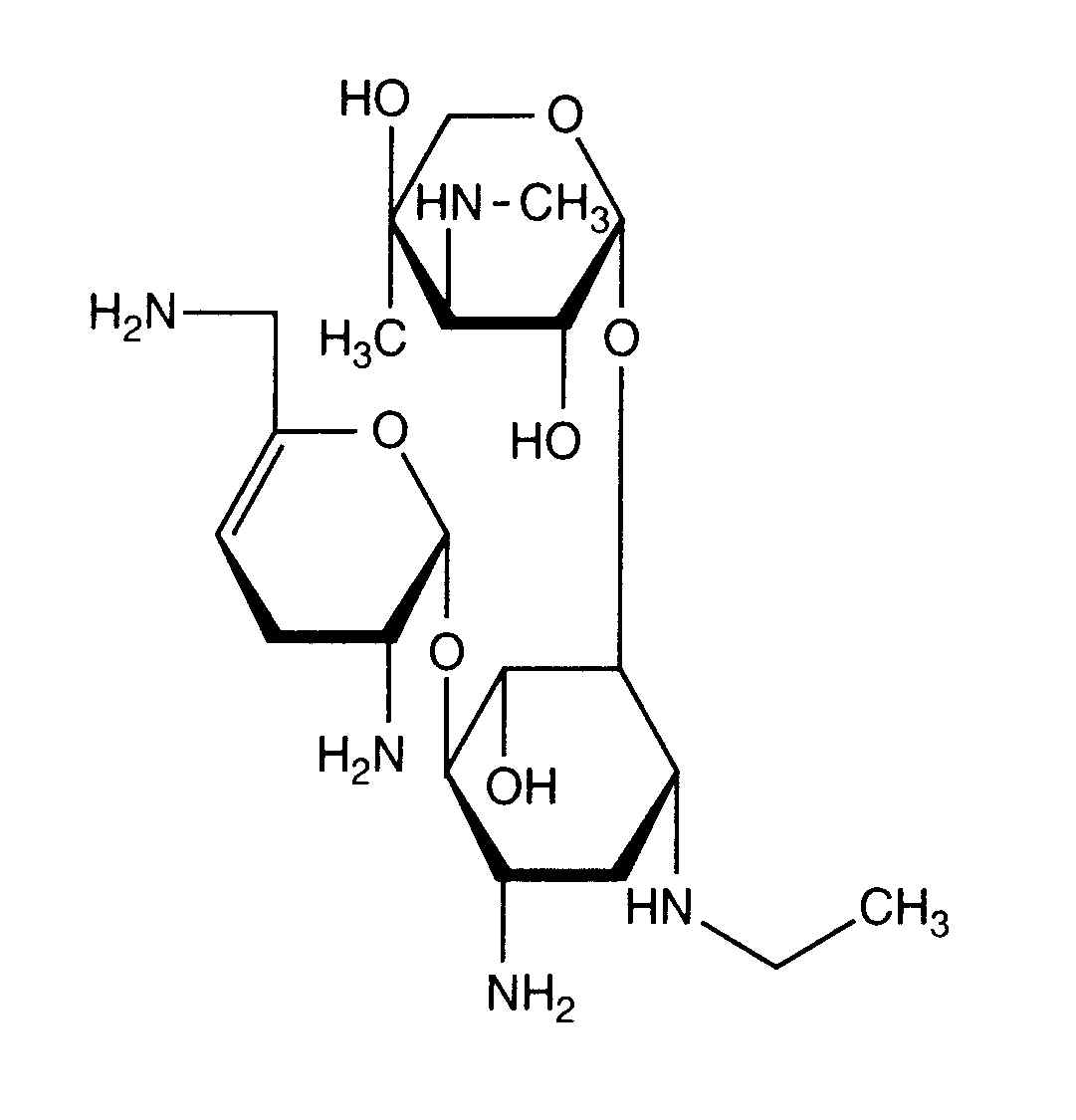
   Chemical structure  

aerosol
Compatibility   aerosol   Compatibility : Netilmicin sulfate               
No data

  Mentions Légales