Poslední aktualizace :
18/03/2026
Antibiotikas   Netilmicin sulfate   
Aerozolis
Įpurškimas
Stabilumas farmacinių preparatų Mišinių stabilumas Stabilumą lemiantys veiksniai Suderinamumas Bibliografija pdf
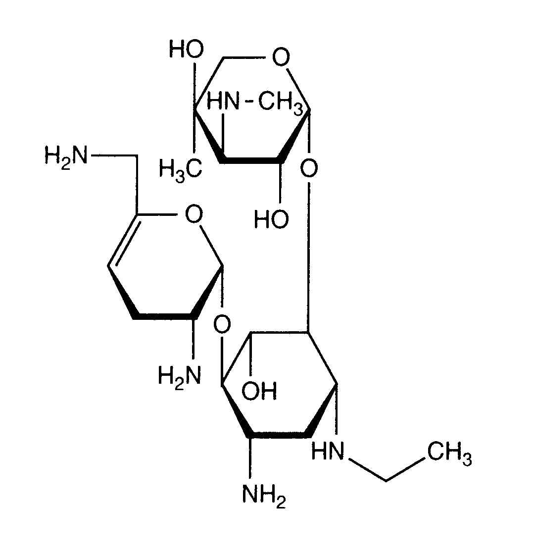
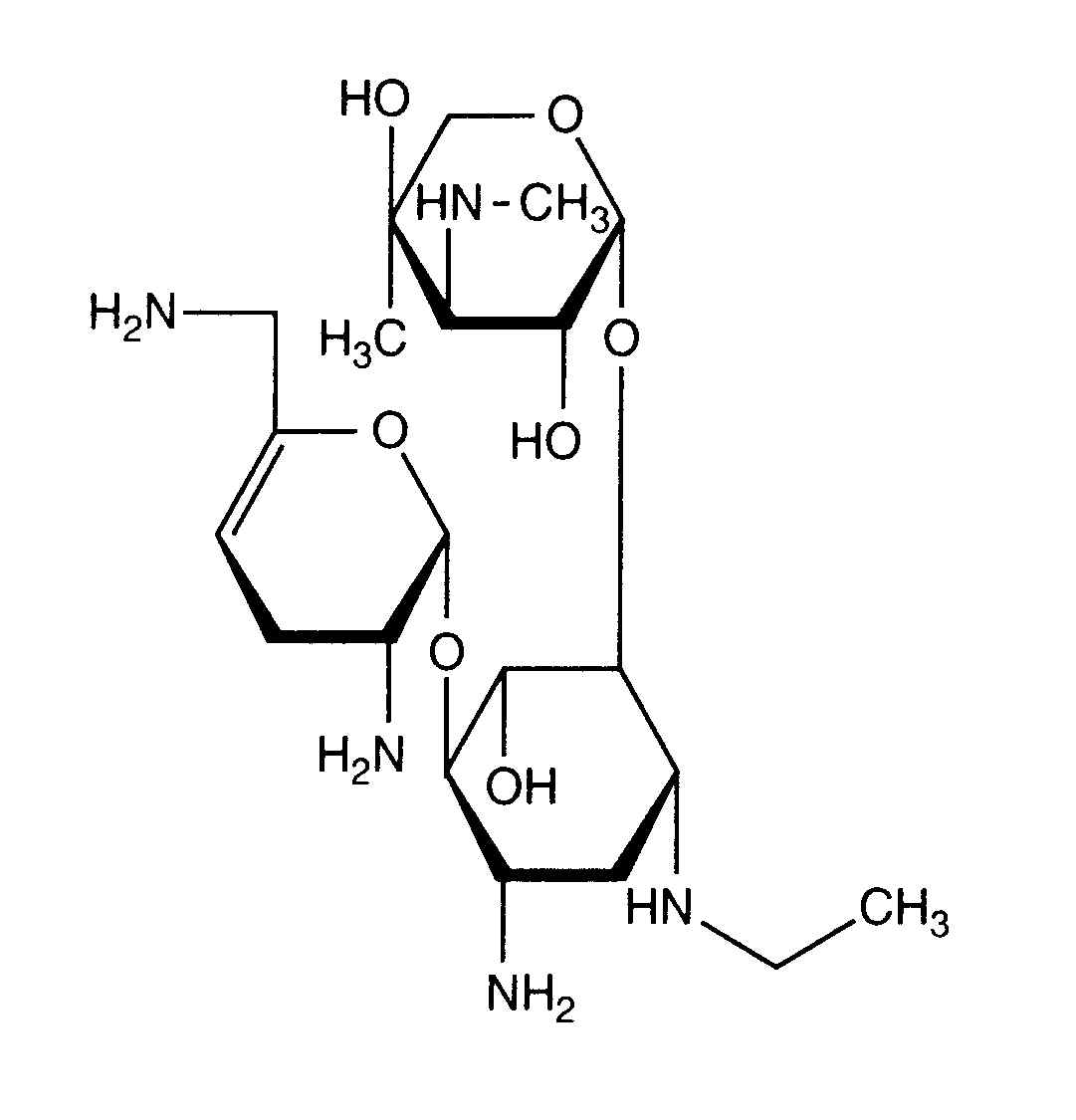
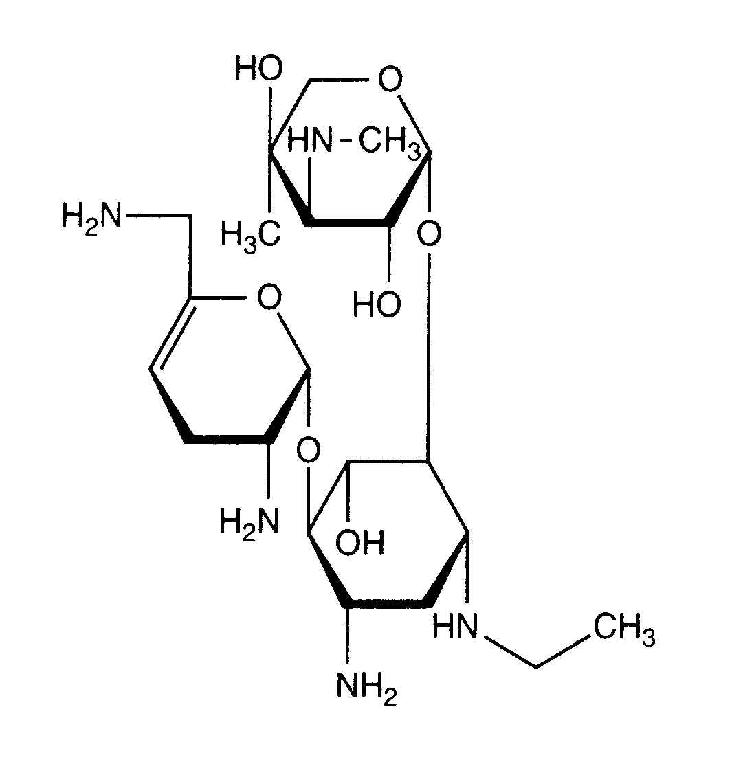
   Cheminė sandara  

Aerozolis
Suderinamumas   Aerozolis   Suderinamumas : Netilmicin sulfate               
Nėra duomenų

  Mentions Légales