最新更新 :
18/03/2026
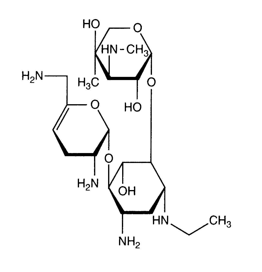
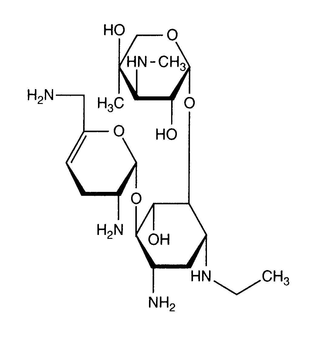
抗生素   Netilmicin sulfate   
气雾剂
注射液
制剂的稳定性 混合物稳定性 影响稳定性的因素 兼容性 引用文献 PDF
   化学式  

气雾剂
兼容性   气雾剂   兼容性 : Netilmicin sulfate               
无数据

  Mentions Légales