最新更新 :
18/03/2026
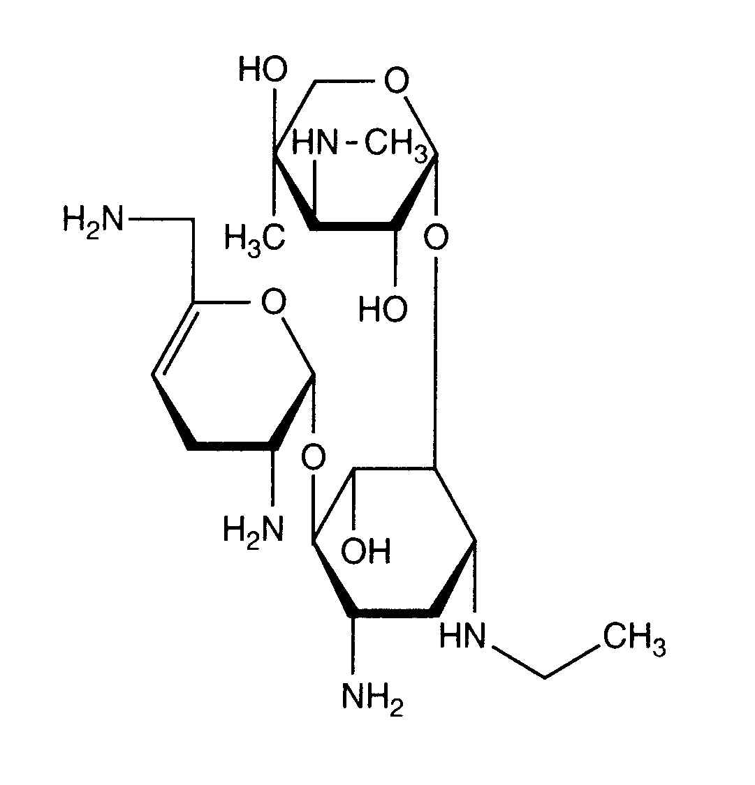
抗菌薬   Netilmicin sulfate   
エアロゾル
注射薬
調剤時の安定性 混合時の安定性 安定性に影響する因子 互換性 引用文献 PDF
   化学構造  

エアロゾル
互換性   エアロゾル   互換性 : Netilmicin sulfate               
データなし

  Mentions Légales