Siste oppdatering :
18/03/2026
Antibiotika   Netilmicin sulfate   
Aerosol
Injeksjon
Stabilitet av farmasøytiske preparater Stabilitet i blandinger Faktorer som påvirker stabiliteten Kompatibilitet Referanser pdf
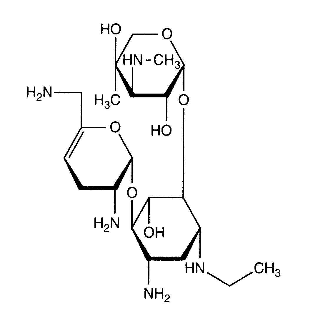
   Kjemisk struktur  

Aerosol
Kompatibilitet   Aerosol   Kompatibilitet : Netilmicin sulfate               
Ingen opplysninger

  Mentions Légales