Ostatnia aktualizacja :
18/03/2026
Antybiotyk   Netilmicin sulfate   
Aerozol
Injekcje
Stabilność preparatów farmaceutycznych Trwałość w mieszaninie Czynnik wpływający na trwałość Zgodność Bibliografia pdf
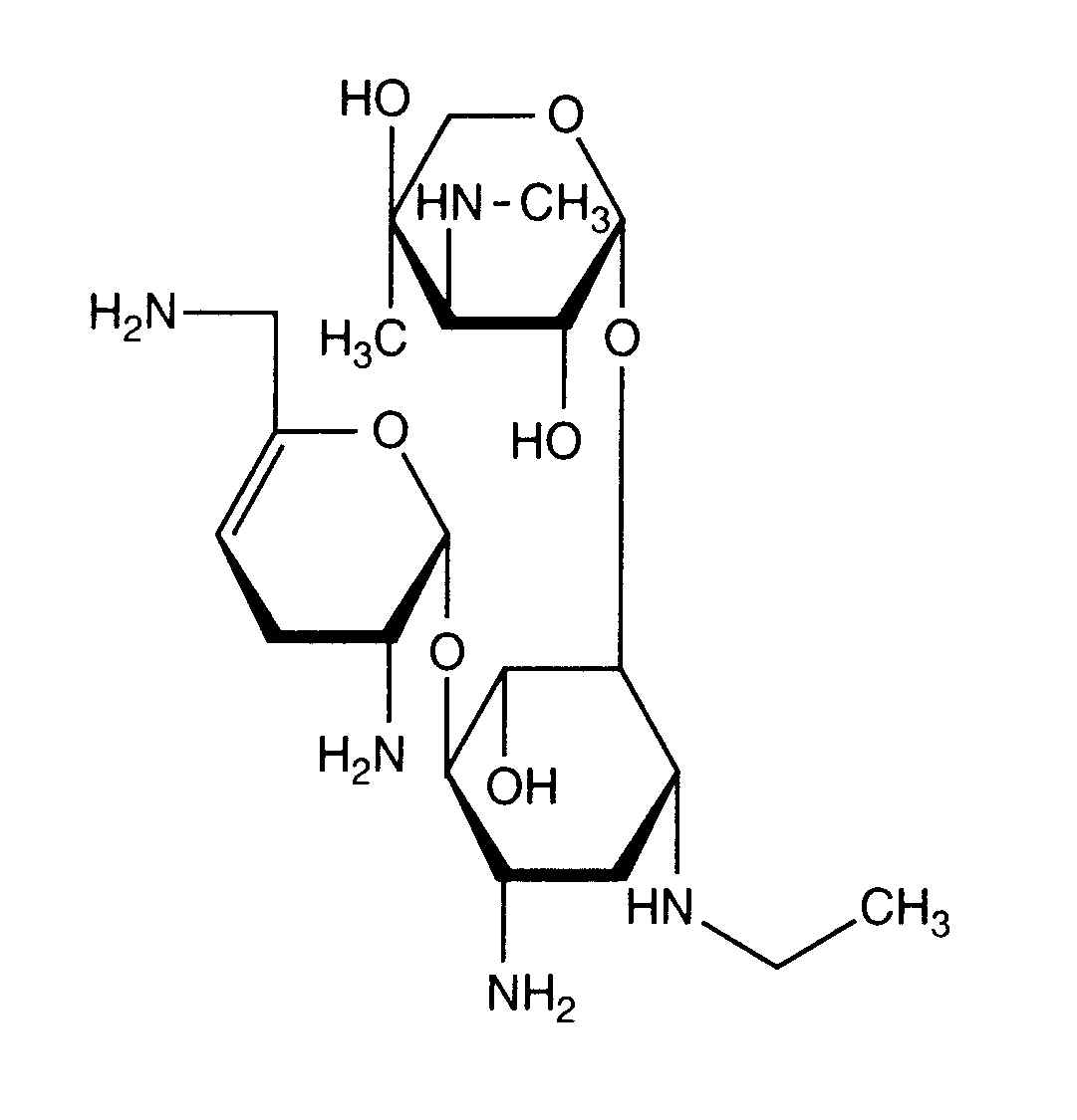
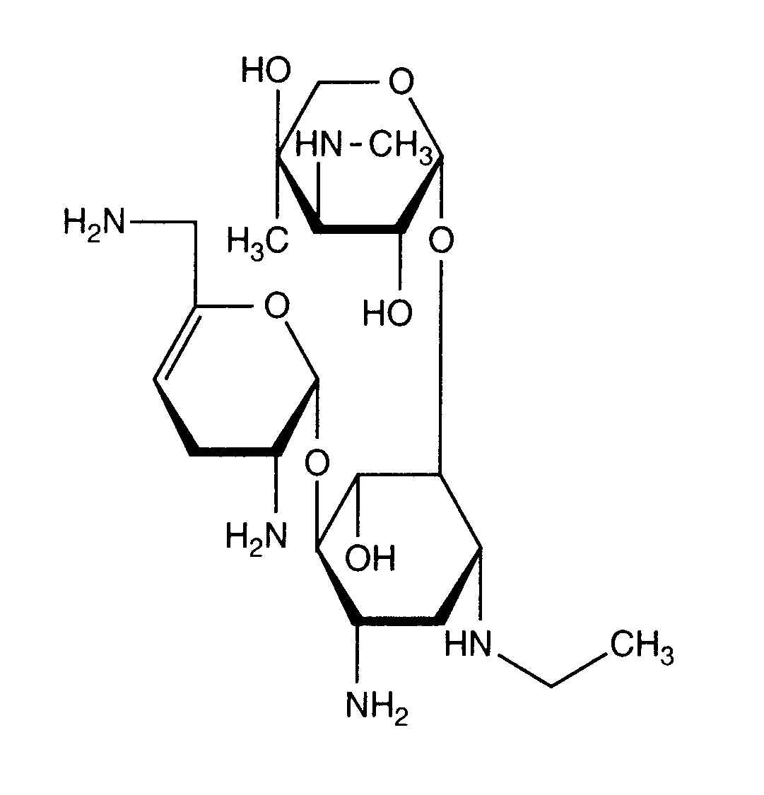
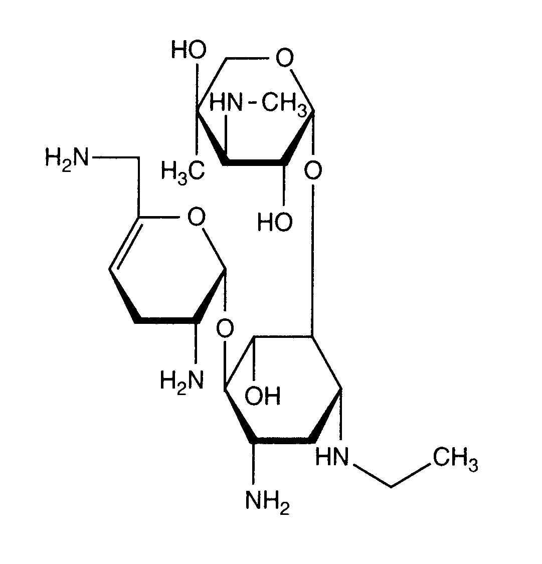
   Struktura chemiczna  

Aerozol
Zgodność   Aerozol   Zgodność : Netilmicin sulfate               
Brak danych

  Mentions Légales