Poslední aktualizace :
18/03/2026
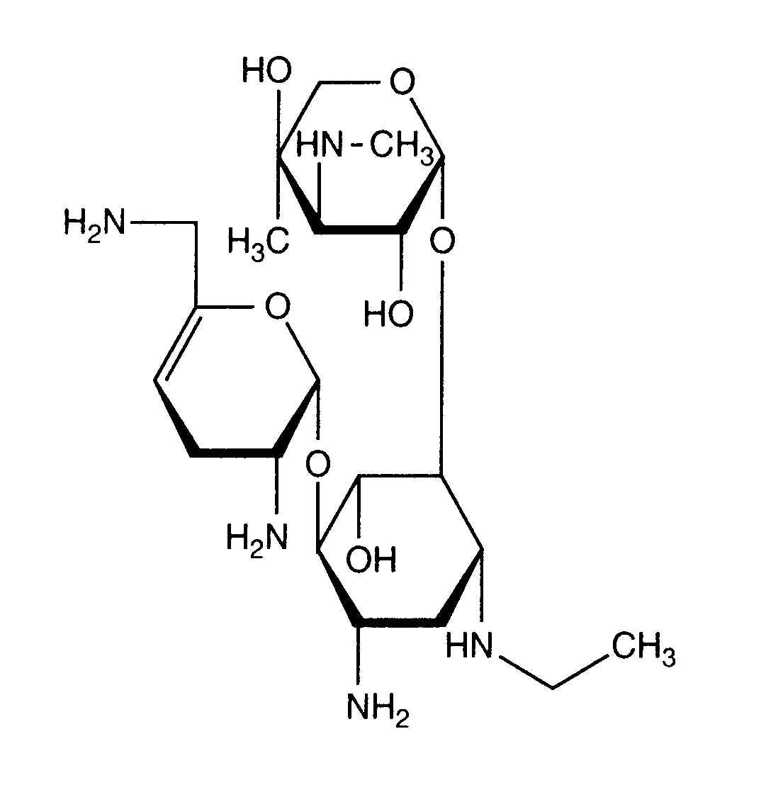
Antibiotikum   Netilmicin sulfate   
Aerosol
injekce
Stabilita farmaceutických přípravků Stabilita směsí Faktory ovlivňující stabilitu Kompatibilita Odkazy pdf
   Chemický vzorec  

Aerosol
Kompatibilita   Aerosol   Kompatibilita : Netilmicin sulfate               
žádná data

  Mentions Légales