آخر تحديث :
18/03/2026
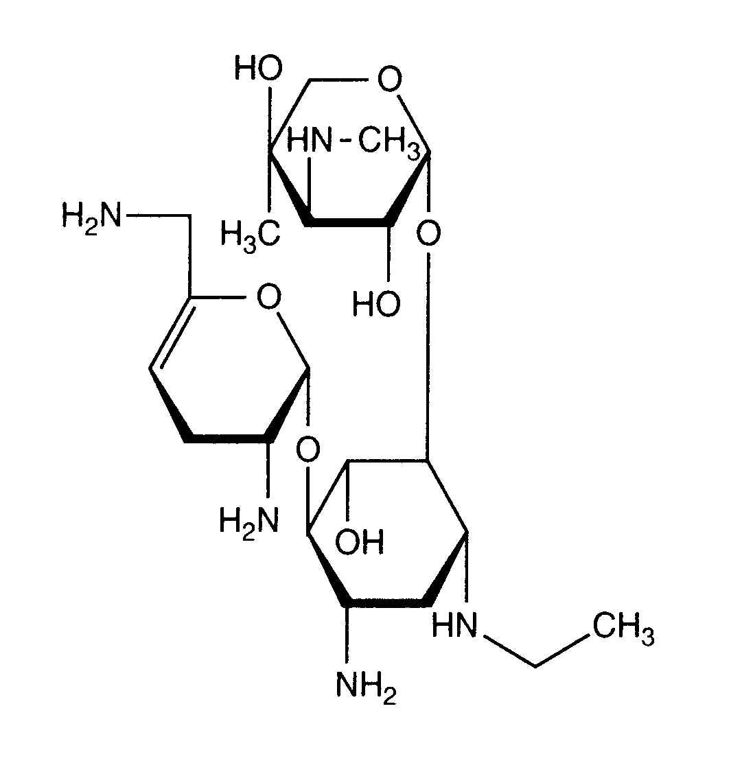
مضاد حيوي   Netilmicin sulfate   
الأيروصولات
حقن
استقرار المستحضرات الصيدلانية استقرار مخاليط العوامل التي تؤثر على الاستقرار التوافق مراجع pdf
   التركيب الكيميائي  

الأيروصولات
التوافق   الأيروصولات   التوافق : Netilmicin sulfate               
لا توجد بيانات

  Mentions Légales